精英家教网 > 高中数学 > 题目详情
正方体ABCD-A1B1C1D1中,BB1与平面ACD1所成角的余弦值为   
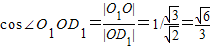
【答案】分析:分析:正方体上下底面中心的连线平行于BB1,上下底面中心的连线平面ACD1所成角即为线面角,直角三角形中求出此角的余弦值.
解答:解答:解:如图,设上下底面的中心分别为O1,O;
O1O与平面ACD1所成角就是BB1与平面ACD1所成角,

故答案为:
点评:点评:本小题主要考查正方体的性质、直线与平面所成的角、点到平面的距离的求法,利用等体积转化求出D到平面ACD1的距离是解决本题的关键所在,这也是转化思想的具体体现.
练习册系列答案
相关习题

科目:高中数学 来源: 题型:

正方体ABCD-A1B1C1D1的各顶点均在半径为1的球面上,则四面体A1-ABC的体积等于
 

查看答案和解析>>

科目:高中数学 来源: 题型:

如图是从上下底面处在水平状态下的棱长为a的正方体ABCD-A1B1C1D1中分离出来的:
(1)试判断A1是否在平面B1CD内;(回答是与否)
(2)求异面直线B1D1与C1D所成的角;
(3)如果用图示中这样一个装置来盛水,那么最多可以盛多少体积的水.

查看答案和解析>>

科目:高中数学 来源: 题型:

已知边长为6的正方体ABCD-A1B1C1D1,E,F为AD、CD上靠近D的三等分点,H为BB1上靠近B的三等分点,G是EF的中点.
(1)求A1H与平面EFH所成角的正弦值;
(2)设点P在线段GH上,
GP
GH
=λ,试确定λ的值,使得二面角P-C1B1-A1的余弦值为
10
10

查看答案和解析>>

科目:高中数学 来源: 题型:

如图所示,在棱长为2cm的正方体ABCD-A1B1C1D1中,A1B1的中点是P,过点A1作出与截面PBC1平行的截面,简单证明截面形状,并求该截面的面积.

查看答案和解析>>

科目:高中数学 来源: 题型:

如图,正方体ABCD-A1B1C1D1中,M是棱AB的中点,过A1,M,C三点的平面与CD所成角正弦值(  )

查看答案和解析>>

同步练习册答案