精英家教网 > 高中数学 > 题目详情

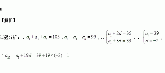
在等差数列中,,,则 ( )

(A)-1 (B)1 (C)3 (D)7

练习册系列答案
相关习题

科目:高中数学 来源:2016届辽宁省抚顺市高三10月月考理科数学试卷(解析版) 题型:解答题

(本小题满分12分)在中,角A,B,C的对边分别为a,b,c,且

(1)求角A的大小;

(2)若,求b,c的值.

查看答案和解析>>

科目:高中数学 来源:2016届河北省高三上学期三调考试文科数学试卷(解析版) 题型:选择题

是函数的两个不同的零点,且这三个数可适当排序后成等差数列,也可适当排序后成等比数列,则的值等于( )

A.1 B.5 C.9 D.4

查看答案和解析>>

科目:高中数学 来源:2016届河北省高三二调理科数学试卷(解析版) 题型:选择题

已知锐角的一个内角,是三角形中各角的对应边,若,则下列各式正确的是( )

A. B. C. D.

查看答案和解析>>

科目:高中数学 来源:2015-2016学年广东中山一中高二上第一次段考文科数学卷(解析版) 题型:选择题

已知等比数列满足,则( )

A. B. C. D.

查看答案和解析>>

科目:高中数学 来源:2016届山东省乳山市高三10月月考理科数学试卷(解析版) 题型:选择题

曲线在点处的切线与坐标轴所围三角形的面积为( )

A. B. C. D.

查看答案和解析>>

科目:高中数学 来源:2015-2016学年黑龙江省牡丹江市高一上学期9月月考数学试卷(解析版) 题型:选择题

已知全集 ,则集合=( )

A.

B.

C.

D.

查看答案和解析>>

科目:高中数学 来源:2015-2016学年河北省高二上学期第二次月考理数学试卷(解析版) 题型:解答题

已知直线,求的值,使得

(1)

(2)

查看答案和解析>>

科目:高中数学 来源:2015-2016学年福建省福安市高二上学期第一次月考试数学试卷(解析版) 题型:选择题

在数列中,对于任意,若存在常数,使得恒成立,则称数列阶数列。现给出下列三个结论:

①若,则数列为1阶数列;

②若,则数列为2数列;

③若,则数列为3数列;以上结论正确的序号是

A.①② B.①③ C.②③ D.①②③

查看答案和解析>>

同步练习册答案