精英家教网 > 高中数学 > 题目详情

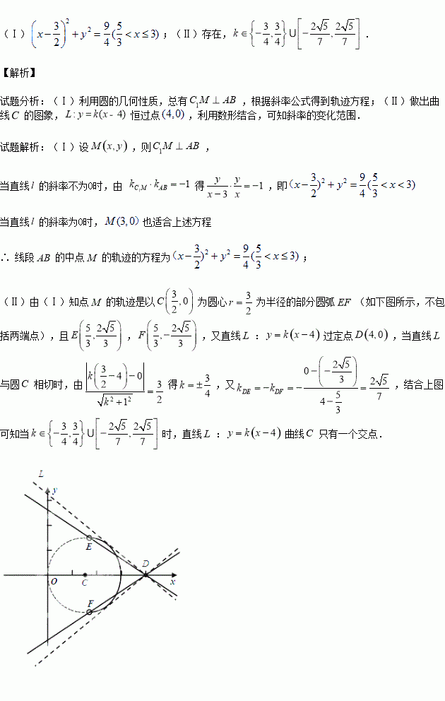
已知过原点的动直线与圆相交于不同的两点

(Ⅰ)求线段的中点的轨迹的方程;

(Ⅱ)是否存在实数,使得直线与曲线只有一个交点:若存在,求出的取值范围;若不存在,说明理由.

练习册系列答案
相关习题

科目:高中数学 来源:2016届河北省邯郸市高三一轮收官考试二理科数学试卷(解析版) 题型:选择题

已知函数,若在[1,8]上任取一个实数,则不等式成立的概率是( )

A. B. C. D.

查看答案和解析>>

科目:高中数学 来源:2015-2016年湖南省株洲市高二上第二次月考文数学卷(解析版) 题型:选择题

已知集合M={1,2,3,4},N={1, 3,5},P=M,则P的子集共有( )

(A)2个 (B)4个 (C)6个 (D)8个

查看答案和解析>>

科目:高中数学 来源:2015-2016学年河南省高二上期中文科数学试卷(解析版) 题型:选择题

”是“方程表示焦点在轴上的椭圆”的

A.充分而不必要条件

B.必要而不充分条件

C.充分必要条件

D.既不充分也不必要条件

查看答案和解析>>

科目:高中数学 来源:2015-2016学年河南省林州市高一上期中数学试卷(解析版) 题型:填空题

给出以下四个命题:

①若集合,则

②若函数的定义域为,则函数的定义域为

③函数的单调递减区间是

④若,且

其中正确的命题有___________________(写出所有正确命题的序号).

查看答案和解析>>

科目:高中数学 来源:2015-2016学年海南省高一上第三次月考数学试卷(解析版) 题型:解答题

某租赁公司拥有汽车100辆,当每辆车的月租金为3000元时,可全部租出,当每辆车的月租金每增加50元时,未租出的车将会增加一辆,租出的车辆每月需要维护费150元,未租出的车每辆每月需要维护费50元,当每辆车的月租金定为x元时,租赁公司的月收益为y元.

(1)试写出x,y的函数关系式(不要求写出定义域);

(2)租赁公司某月租出了88辆车,求租赁公司的月收益多少元?

查看答案和解析>>

科目:高中数学 来源:2015-2016学年福建省高一上期中数学试卷(解析版) 题型:填空题

已知是方程的两根,且,则的范围是________.

查看答案和解析>>

科目:高中数学 来源:2015-2016学年贵州省高二上滾动训练3数学试卷(解析版) 题型:填空题

若a>0>b>-a,c<d<0,则下列命题①ad>bc,②<0,③a-c>b-d,④a(d-c)>b(d-c)中能成立的是__________.(把所有正确命题的序号都填上)

查看答案和解析>>

科目:高中数学 来源:2015-2016学年安徽省蚌埠市高二上期中理科数学试卷(解析版) 题型:选择题

直线的倾斜角为 ( )

A. B. C. D.

查看答案和解析>>

同步练习册答案