精英家教网 > 高中数学 > 题目详情

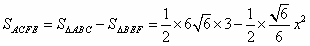
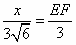
如图所示,等腰的底边,高,点是线段上异于点的动点,点边上,且,现沿折起到的位置,使,记表示四棱锥的体积.

(1)求的表达式;     (2)当为何值时,取得最大值?


解析(1)
∴PE⊥平面ABC,
即PE为四棱锥P-ACFE的高,
由高线CD及EF⊥AB得EF∥CD,
,由题意知,∴, 

而PE=EB=x,

          

(2)

∴V(x)在x=6时取极大值也即最大值V(6)=         


练习册系列答案
相关习题

科目:高中数学 来源: 题型:


,二次函数的图象可能是                   (    )       

查看答案和解析>>

科目:高中数学 来源: 题型:


是各项为正数的等比数列,是其公比,是其前项的积,且,则下列结论错误的是(       )

A、                          B、

C、                          D、均为的最大值

查看答案和解析>>

科目:高中数学 来源: 题型:


已知函数f(x)=sin x-x(x∈[0,π]),那么下列结论正确的是           ()

A.f(x)在上是增函数       B.f(x)在上是减函数

C.∀x∈[0,π],f(x)≤f()       D.∃x∈[0,π],f(x)>f()       

查看答案和解析>>

科目:高中数学 来源: 题型:


已知函数是偶函数,是奇函数,正数数列满足,求数列的通项公式为____

查看答案和解析>>

科目:高中数学 来源: 题型:


,则

A.         B.         C.         D.

查看答案和解析>>

科目:高中数学 来源: 题型:


执行右面的程序框图,若输入的分别为1,2,3,则输出的( )

A. B. C. D.

查看答案和解析>>

科目:高中数学 来源: 题型:


=

.   .   .    .

查看答案和解析>>

科目:高中数学 来源: 题型:


已知均为给定的大于1的自然数,设集合,集合

时,用列举法表示集合A;

其中证明:若.

查看答案和解析>>

同步练习册答案