精英家教网 > 高中数学 > 题目详情

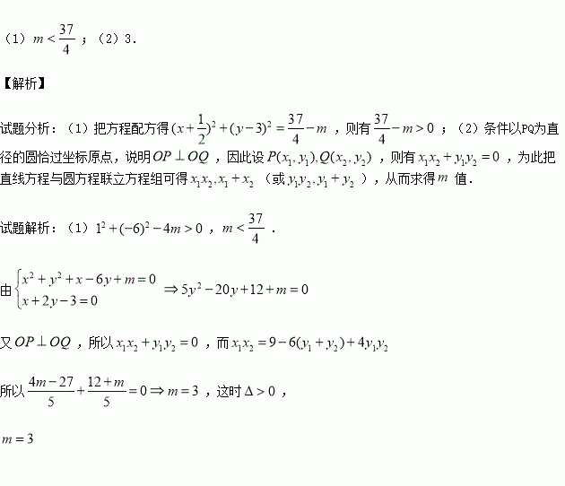
已知圆C的方程为,直线.

(1)求的取值范围;

(2)若圆与直线交于P、Q两点,且以PQ为直径的圆恰过坐标原点,求实数的值.

练习册系列答案
相关习题

科目:高中数学 来源:2015-2016学年江苏省高邮市高一上学期期中调研数学试卷(解析版) 题型:解答题

已知函数是定义在上的奇函数,当时,

(1)求函数的解析式;

(2)①证明函数上是单调递减函数;

②判断函数上的单调性(不要证明);

(3)根据你对该函数的理解,作出函数的图像.(不需要说明理由,但要有关键特征,标出关键点)

(本题可能使用到的公式:

查看答案和解析>>

科目:高中数学 来源:2016届江西省高三上学期第三次考试理科数学试卷(解析版) 题型:选择题

如图所示,点A,B,C是圆O上三点,线段OC与线段AB交于圆内一点M,若

,则的最小值为( )

A. B. C. D.

查看答案和解析>>

科目:高中数学 来源:2015-2016学年江苏省高一上学期期中数学试卷(解析版) 题型:填空题

函数的定义域为

查看答案和解析>>

科目:高中数学 来源:2015-2016学年安徽师大附中高二上学期期中文科数学试卷(解析版) 题型:填空题

已知以为渐近线的双曲线的左、右焦点分别为为双曲线右支上任意一点,则的取值范围是

查看答案和解析>>

科目:高中数学 来源:2015-2016学年四川省实验学校高二上学期期中理科数学试卷(解析版) 题型:选择题

在平面直角坐标系xOy中,圆C 的方程为,若直线上至少存在一点,使得以该点为圆心,半径为1的圆与圆C 有公共点,则k的最小值是( )

A. B. C. D.

查看答案和解析>>

科目:高中数学 来源:2015-2016学年陕西省西安市高二上学期期中考试理科数学试卷(解析版) 题型:选择题

是由正数组成的等比数列,公比q=2,且a1a2a3…a30=,则a3a6a9…a30=( )

A.210 B.215 C.216 D.220

查看答案和解析>>

科目:高中数学 来源:2015-2016学年黑龙江省高二上学期期中数学试卷(解析版) 题型:选择题

分别为直线和圆上的点,则的最小值为( )

A. B. C. D.

查看答案和解析>>

科目:高中数学 来源:2015-2016学年福建省高二上学期期中考试理科数学试卷(解析版) 题型:填空题

设变量x,y满足约束条件,则的最小值为

查看答案和解析>>

同步练习册答案