精英家教网 > 高中数学 > 题目详情

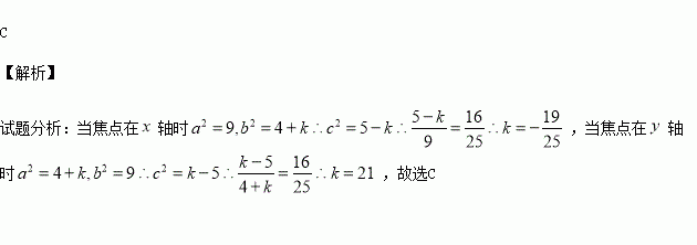
椭圆=1的离心率为,则k的值为( )

A.-21 B.21 C.-或21 D.或21

练习册系列答案
相关习题

科目:高中数学 来源:2015-2016学年广东省普宁市高一上学期期中考试数学试卷(解析版) 题型:解答题

(本小题满分14分) 已知函数f(x)= (a>0且a≠1).

(1)求f(x)的定义域和值域;

(2)讨论f(x)的奇偶性;

(3)讨论f(x)的单调性.

查看答案和解析>>

科目:高中数学 来源:2015-2016学年四川成都市六校高二上学期期中联考理科数学试卷(解析版) 题型:选择题

已知点A和B在直线的两侧,则直线倾斜角的取值范围是

A. B. C. D.

查看答案和解析>>

科目:高中数学 来源:2015-2016学年广东省普宁市高一上学期期中考试数学试卷(解析版) 题型:选择题

若函数上是单调函数,则的取值范围是( )

A. B.

C. D.

查看答案和解析>>

科目:高中数学 来源:2015-2016学年福建厦门双十中学高二上期中文科数学试卷(解析版) 题型:选择题

,且,则下列不等式一定成立的是 ( ).

A. B.

C. D.

查看答案和解析>>

科目:高中数学 来源:2014-2015年河北保定一中高二下第一次段考理数学试卷(解析版) 题型:解答题

(本题满分12分)如图所示,平行六面体ABCD—A1B1C1D1中,以顶点A为端点的三条棱长都为1,且两两夹角为60°.

(1)求AC1的长;

(2)求BD1与AC夹角的余弦值.

查看答案和解析>>

科目:高中数学 来源:2016届辽宁省大连市高三10月月考文科数学试卷(解析版) 题型:选择题

“对任意”是“”的( )

(A)充分而不必要条件 (B)必要而不充分条件

(C)充分必要条件 (D)既不充分也不必要条件

查看答案和解析>>

科目:高中数学 来源:2016届重庆市高三上学期期中文科数学试卷(解析版) 题型:填空题

,当取得极大值,当取得极小值,则的取值范围是

查看答案和解析>>

科目:高中数学 来源:2016届江西省高三上学期期中文科数学试卷(解析版) 题型:解答题

(本小题满分12分)已知函数

(1)当时,求曲线处的切线方程;

(2)设函数,求函数的单调区间.

【答案】(1);(2)当时,上单调递减,在上单调递增;当时,上单调递增.

【解析】

试题分析:(1)先求出切点,再利用导数的几何意义即可求出切线的斜率,从而问题解决;(2)先求出导函数,根据求得的区间是单调增区间,求得的区间是单调减区间,因为在函数式中含字母系数,要对分类讨论.

试题解析:(1)当时,,切点

,∴

∴曲线在点处的切线方程为:,即

(2),定义域为

①当,即时,令

,∴

,∵,∴

②当,即时,恒成立,

综上:当时,上单调递减,在上单调递增.

时,上单调递增.

考点:1、导数的几何意义;2、利用导数研究函数的单调性.

【思路点睛】利用导数研究函数性质是导数的重要应用,一般是先求函数的定义域,利用不等式的解集与定义域的交集为函数的单调递增区间,的解集与定义域的交集为函数的单调递减区间;若已知函数在某区间上单调递增(减),则转化为不等式)在区间上有解.

【题型】解答题
【适用】一般
【标题】【百强校】2016届江西省临川一中高三上学期期中文科数学试卷(带解析)
【关键字标签】
【结束】
 

(本小题满分12分)已知椭圆E的两个焦点分别为,离心率

(1)求椭圆E的方程;

(2)设直线与椭圆E交于A、B两点,线段AB的垂直平分线交x轴于点T,当m变化时,求△TAB面积的最大值.

查看答案和解析>>

同步练习册答案