精英家教网 > 高中数学 > 题目详情

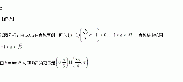
已知点A和B在直线的两侧,则直线倾斜角的取值范围是

A. B. C. D.

练习册系列答案
相关习题

科目:高中数学 来源:2015-2016学年湖北省枣阳市高二10月月考理科数学试卷(解析版) 题型:填空题

已知集合,则从中任选一个元素满足的概率为________________.

查看答案和解析>>

科目:高中数学 来源:2014-2015学年浙江省等三校高二上学期期中考试数学试卷(解析版) 题型:填空题

设集合A={x|(x-1)2<3x+7,x∈R},则集合A∩Z中元素的个数是________个.

查看答案和解析>>

科目:高中数学 来源:2015-2016学年浙江省平湖市高一10月月考数学试卷(解析版) 题型:选择题

,则下列等式不成立的是( )

A.

B.

C.

D.

查看答案和解析>>

科目:高中数学 来源:2015-2016学年四川省高一上学期第一学月考数学试卷(解析版) 题型:选择题

若函数f(x)满足f(3x+2)=9x+8,则f(x)的解析式是( )

A.f(x)=9x+8

B.f(x)=3x+2

C.f(x)=-3x-4

D.f(x)=3x+2或f(x)=-3x-4

查看答案和解析>>

科目:高中数学 来源:2015-2016学年湖北省宜昌市高一上学期期中考试数学试卷(解析版) 题型:解答题

某厂生产某种零件,每个零件的成本为40元,出厂单价定为60元.该厂为鼓励销售商订购,决定当一次订购量超过100个时,每多订购一个,订购的全部零件的出厂单价就降低0.02元,但实际出厂单价不能低于51元.

(1)当一次订购量为多少个时,零件的实际出厂单价恰降为51元?

(2)设一次订购量为x个,零件的实际出厂单价为P元,写出函数的表达式.

(3)当销售商一次订购500个零件时,该厂获得的利润是多少元?如果订购1 000个,利润又是多少元?(工厂售出一个零件的利润=实际出厂单价-成本)

查看答案和解析>>

科目:高中数学 来源:2015-2016学年河北省高一上学期第一次月考数学试卷(解析版) 题型:解答题

已知集合

(1)若,求实数m的取值范围。

(2)求,求实数m的取值范围。

查看答案和解析>>

科目:高中数学 来源:2015-2016学年福建厦门双十中学高二上期中理科数学试卷(解析版) 题型:选择题

椭圆=1的离心率为,则k的值为( )

A.-21 B.21 C.-或21 D.或21

查看答案和解析>>

科目:高中数学 来源:2015-2016年浙江宁波效实中学高二1,2班上期中数学卷(解析版) 题型:填空题

已知随机变量,则 ; 标准差

查看答案和解析>>

同步练习册答案