精英家教网 > 高中数学 > 题目详情
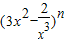
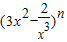
如果的展开式中含有非零常数项,则正整数n的最小值为   
【答案】分析:.先求出二项展开式的通项,令x的指数为0,判断出n是5的倍数,求出n的最小值.
解答:解:展开式的通项为Tr+1=(-2)r3n-rCnrx2n-5r
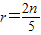
令2n-5r=0得
∵r∈N
∴n是5的倍数
∴n的最小值为5
故答案为5.
点评:解决二项展开式的特定项问题从二项展开式的通项入手.
练习册系列答案
相关习题

科目:高中数学 来源: 题型:

(07年湖北卷)如果的展开式中含有非零常数项,则正整数的最小值为(  )

A.10           B.6            C.5            D.3

查看答案和解析>>

科目:高中数学 来源: 题型:

1.如果 的展开式中含有非零常数项,则正整数n的最小值为

A.3               B.5               C.6                 D.10

查看答案和解析>>

科目:高中数学 来源: 题型:

3.如果的展开式中含有非零常数项,则正整数n的最小值为

A.10                                          B.6                              C.5                                     D.3

查看答案和解析>>

科目:高中数学 来源:2013-2014学年四川成都外国语学校高三下二月月考理科数学试卷(解析版) 题型:填空题

如果的展开式中含有非零常数项,则正整数的最小值为________.

 

查看答案和解析>>

科目:高中数学 来源:河南省09-10学年高二下学期期末数学试题(理科) 题型:选择题

 

.如果的展开式中含有非零常数项,则正整数的最小值为(   )

A.5               B.6               C.7               D.8

 

查看答案和解析>>

同步练习册答案