精英家教网 > 高中数学 > 题目详情

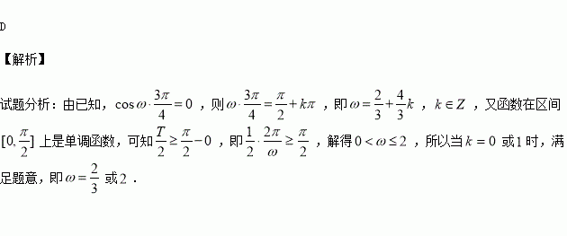
函数的图象关于点对称,且在区间上是单调函数,则的值为( )

A. B. C. D.或2

练习册系列答案
相关习题

科目:高中数学 来源:2015-2016学年河北省高二下学期第一次月考理科数学试卷(解析版) 题型:解答题

设函数,

(Ⅰ)求函数的单调区间;

(Ⅱ)求函数在区间上的最值.

查看答案和解析>>

科目:高中数学 来源:2016届宁夏六盘山高中高三第三次模拟考试文科数学试卷(解析版) 题型:解答题

如图,在直角梯形中,的中点,将沿折起,使得.

(1)求证:平面平面

(2)若的中点,求三棱锥的体积.

查看答案和解析>>

科目:高中数学 来源:2016届宁夏六盘山高中高三第三次模拟考试文科数学试卷(解析版) 题型:选择题

复数的虚部是( )

A.2 B. C.-2 D.

查看答案和解析>>

科目:高中数学 来源:2015-2016学年河南省高一下期中数学试卷(解析版) 题型:解答题

已知,且是第三象限角.求.

查看答案和解析>>

科目:高中数学 来源:2015-2016学年河南省高一下期中数学试卷(解析版) 题型:选择题

已知扇形的周长为8,圆心角为2弧度,则该扇形的面积为( )

A. B. C. D.

查看答案和解析>>

科目:高中数学 来源:2016届吉林省高三第八次模拟考试文科数学试卷(解析版) 题型:解答题

为正实数,且.

(1)求的最小值;

(2)若,求的值.

查看答案和解析>>

科目:高中数学 来源:2016届吉林省高三第八次模拟考试文科数学试卷(解析版) 题型:选择题

数列对于,都有为定值,且,则数列的前项的和( )

A. B. C. D.

查看答案和解析>>

科目:高中数学 来源:2016届山东师大附中高三下学期高考模拟文科数学试卷(解析版) 题型:填空题

,则__________.(其中为自然对数的底数)

查看答案和解析>>

同步练习册答案