精英家教网 > 高中数学 > 题目详情

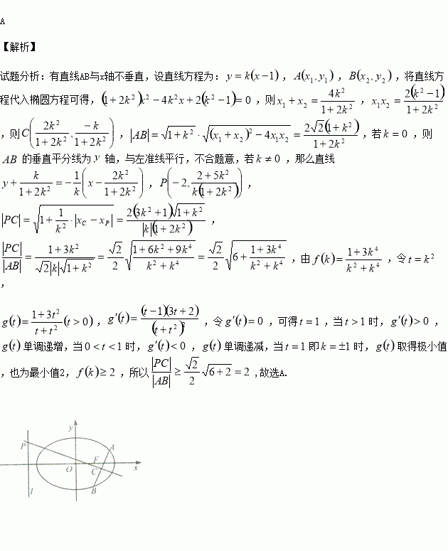
已知椭圆,过右焦点作一条与轴不垂直的直线交椭圆于两点,线段的中垂线分别交直线,则的取值范围是( )

A. B. C. D.

练习册系列答案
相关习题

科目:高中数学 来源:2016届山西省等四校高三下第四次联考文科数学试卷(解析版) 题型:填空题

是半径为的圆周上一个定点,在圆周上等可能任取一点,连接,则弦的长度超过的概率是

查看答案和解析>>

科目:高中数学 来源:2015-2016学年宁夏高一下第二次月考数学试卷(解析版) 题型:解答题

如图,在平面直角坐标系中,锐角的终边分别与单位圆交于两点.

(1)如果点的纵坐标为,点的横坐标为,求

(2)已知点,求

查看答案和解析>>

科目:高中数学 来源:2015-2016学年宁夏高一下第二次月考数学试卷(解析版) 题型:选择题

用“辗转相除法法”求得459和357的最大公约数是( )

A.3 B.9 C.17 D.51

查看答案和解析>>

科目:高中数学 来源:2015-2016学年四川省高二下期中文科数学试卷(解析版) 题型:解答题

甲、乙两人各掷一枚骰子,试解答下列各问:

(1)列举所有不同的基本事件;

(2)求事件“向上的点数之差为3”的概率;

(3)求事件“向上的点数之积为6”的概率.

查看答案和解析>>

科目:高中数学 来源:2015-2016学年四川省高二下期中文科数学试卷(解析版) 题型:选择题

短轴长等于8,离心率等于的椭圆的标准方程为( )

A. B.

C. D.

查看答案和解析>>

科目:高中数学 来源:2015-2016学年四川省高二下期中理科数学试卷(解析版) 题型:解答题

已知椭圆的一个焦点为,且经过点.

(1)求椭圆的标准方程;

(2)已知,直线与椭圆交于两点,且

(ⅰ)若,求直线的方程;

(ⅱ)求面积的最大值.

查看答案和解析>>

科目:高中数学 来源:2015-2016学年四川省高二下期中理科数学试卷(解析版) 题型:选择题

方程表示双曲线,则的取值范围是( )

A.

B.

C.

D.

查看答案和解析>>

科目:高中数学 来源:2015-2016学年河北省高二3月月考文科数学试卷(解析版) 题型:选择题

在古腊毕达哥拉斯学派把1,3,6,10,15,21,28,…这些数叫做三角形数,因为这些数对应的点可以排成一个正三角形,则第个三角形数为( )

A. B. C. D.

查看答案和解析>>

同步练习册答案