精英家教网 > 高中数学 > 题目详情

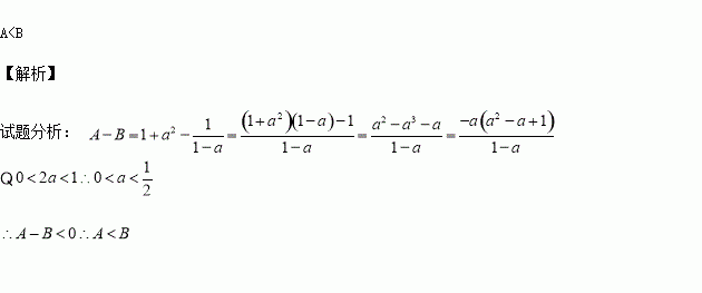
已知0<2a<1,若A=1+a2, B=, 则A与B的大小关系是

练习册系列答案
相关习题

科目:高中数学 来源:2015-2016学年甘肃省嘉峪关市高二上学期期中考试理科数学试卷(解析版) 题型:选择题

在等比数列中,若( )

A.128 B.-128 C.256 D.-256

查看答案和解析>>

科目:高中数学 来源:2015-2016学年四川绵阳南山中学高二上期中文科数学试卷(解析版) 题型:填空题

直线与直线平行,则______

查看答案和解析>>

科目:高中数学 来源:2015-2016学年广西桂林中学高二上期中考试文科数学试卷(解析版) 题型:解答题

(12分)在中,角所对的边分别为,且

(Ⅰ)当时,求证:

(Ⅱ)若,求的值

查看答案和解析>>

科目:高中数学 来源:2015-2016学年福建省师大附高二上期中理科数学试卷(解析版) 题型:填空题

如图,一辆汽车在一条水平的公路上向正西行驶,到处时测得公路北侧一山顶D在西偏北的方向上,行驶600m后到达处,测得此山顶在西偏北的方向上,仰角为,则此山的高度__________m.

查看答案和解析>>

科目:高中数学 来源:2015-2016学年辽宁省大连市高二10月月考数学试卷(解析版) 题型:解答题

某校从参加科普知识竞赛的学生中抽出60名学生,将其成绩(均为整数)分成六段,……,后画出如右的部分频率分布直方图,观察图形的信息,回答下列问题:

(1)求第四段的频率,并补全这个频率分布直方图;

(2)求这次考试的及格率(60分以上为及格);

(3)求这60名孩子的平均分

查看答案和解析>>

科目:高中数学 来源:2015-2016学年江苏省泰兴市高二上学期期中考试数学试卷(解析版) 题型:填空题

已知命题:“若,则有实数解”的逆命题;命题:“若函数的值域为,则”.以下四个结论:

是真命题;②是假命题;③是假命题;④为假命题.

其中所有正确结论的序号为

查看答案和解析>>

科目:高中数学 来源:2015-2016学年辽宁省大连市高一上学期期中考试数学试卷(解析版) 题型:选择题

函数的定义域是( )

A.(3,+∞) B.[3,+∞) C.(4,+∞) D.[4,+∞)

查看答案和解析>>

科目:高中数学 来源:2015-2016学年浙江省平湖市高一10月月考数学试卷(解析版) 题型:填空题

已知不论a为何正实数,的图象恒过定点,则这个定点的坐标是______.

查看答案和解析>>

同步练习册答案