精英家教网 > 高中数学 > 题目详情

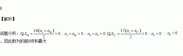
在等差数列{an} 中,Sn是它的前n项和.若S16>0,且S17<0,则当Sn最大时n的值为________

练习册系列答案
相关习题

科目:高中数学 来源:2015-2016学年山东省高一上学期期中模块考试数学试卷(解析版) 题型:解答题

已知函数 ,设函数

(1)求函数 的定义域及值域;

(2)判断函数的奇偶性,并说明理由。

查看答案和解析>>

科目:高中数学 来源:2015-2016学年福建省高一上学期期中考试数学试卷(解析版) 题型:选择题

设函数,若实数满足

则( )

A. B. C. D.

查看答案和解析>>

科目:高中数学 来源:2014-2015学年上海市高二下学期期末考试数学试卷(解析版) 题型:解答题

(本题满分14分) 本题共有2个小题,第1小题满分6分,第2小题满分8分.

在二项式的展开式中:

(1)若第5项,第6项与第7项的二项式系数成等差数列,求展开式中二项式系数最大的项;

(2)若所有项的二项式系数和等于4096,求展开式中系数最大的项.

查看答案和解析>>

科目:高中数学 来源:2015-2016学年重庆市高二上第一次月考理科数学试卷(解析版) 题型:填空题

设变量满足约束条件,则的最大值为

查看答案和解析>>

科目:高中数学 来源:2015-2016学年辽宁省大连市高二上期中文科数学试卷(解析版) 题型:填空题

抛物线上一点到其焦点距离为,则该点坐标为 .

查看答案和解析>>

科目:高中数学 来源:2015-2016学年辽宁省大连市高二上期中理科数学试卷(解析版) 题型:选择题

焦点为,且与双曲线有相同的渐近线的双曲线方程是

(A) (B)

(C) (D)

查看答案和解析>>

科目:高中数学 来源:2015-2016学年江西省赣州市十三县高二上期中联考理科数学试卷(解析版) 题型:选择题

某林场有树苗30000棵,其中松树苗4000棵,为调查树苗的生长情况,采用分层抽样的方法抽取一个容量为150的样本,则样本中松树苗的数量为( )

A.30 B.25 C.20 D.15

查看答案和解析>>

科目:高中数学 来源:2016届重庆市高三上学期第三次月考理科数学试卷(解析版) 题型:解答题

(本小题满分12分)某商家对他所经销的一种商品的日销售量(单位:吨)进行统计,最近50天的统计结果如下表:

日销售量

1

1.5

2

天数

10

25

15

频率

若以上表中频率作为概率,且每天的销售量相互独立.

(1)求5天中该种商品恰好有两天的销售量为1.5吨的概率;

(2)已知每顿该商品的销售利润为2千元,表示该种商品某两天销售利润的和(单位:千元),求的分布列和数学期望.

查看答案和解析>>

同步练习册答案