精英家教网 > 高中数学 > 题目详情

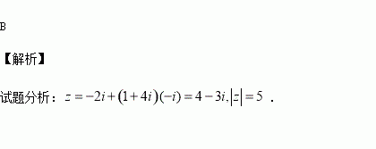
已知复数,则复数的模为( )

A.4 B.5 C.6 D.7

练习册系列答案
相关习题

科目:高中数学 来源:2016-2017学年河北冀州市高二上月考二理数学试卷(解析版) 题型:选择题

已知,点内,且,设,则等于( )

A. B. C.3 D.

查看答案和解析>>

科目:高中数学 来源:2017届重庆市高三上学期入学考试数学(理)试卷(解析版) 题型:选择题

由曲线,直线所围成的封闭图形的面积为( )

A. B. C. D.

查看答案和解析>>

科目:高中数学 来源:2017届河南息县第一高级中学高三上阶段测三数学(文)试卷(解析版) 题型:填空题

满足约束条件,则的最大值为

查看答案和解析>>

科目:高中数学 来源:2017届河南息县第一高级中学高三上阶段测三数学(文)试卷(解析版) 题型:选择题

如图是一个由两个半圆锥与一个长方体组合而成的几何体的三视图,则该几何体的体积为( )

A. B. C. D.

查看答案和解析>>

科目:高中数学 来源:2017届河北衡水中学高三上学期一调考试数学(文)试卷(解析版) 题型:解答题

已知函数

(1)当时,求函数的单调区间;

(2)是否存在实数,使恒成立,若存在,求出实数的取值范围;若不存在,说明理由.

查看答案和解析>>

科目:高中数学 来源:2017届河北衡水中学高三上学期一调考试数学(文)试卷(解析版) 题型:填空题

已知函数的图象在点处的切线过点(2,7),则=__________.

查看答案和解析>>

科目:高中数学 来源:2017届河北衡水中学高三上学期一调考试数学(理)试卷(解析版) 题型:解答题

已知函数

(1)记,判断在区间内的零点个数并说明理由;

(2)记内的零点为,若)在内有两个不等实根),判断的大小,并给出对应的证明.

查看答案和解析>>

科目:高中数学 来源:2015-2016学年辽宁瓦房店市高二下期末数学(文)试卷(解析版) 题型:选择题

《张丘建算经》是我国古代内容极为丰富的数学名著,书中有如下问题:“今有女不善织,日减功迟,初日织五尺,末日织一尺,今三十织迄,问织几何.”其意思为:有个女子不善于织布,每天比前一天少织同样多的布,第一天织五尺,最后一天织一尺,三十天织完,问三十天共织布( )

A.30尺 B.90尺 C.150尺 D.180尺

查看答案和解析>>

同步练习册答案