精英家教网 > 高中数学 > 题目详情

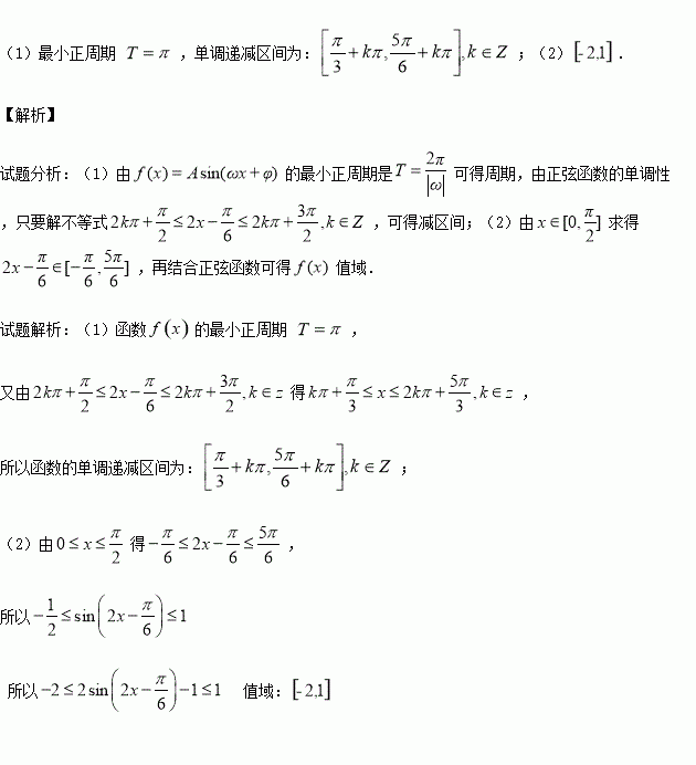
已知函数

(1)求函数的最小正周期及单调递减区间;

(2)若的值域.

练习册系列答案
相关习题

科目:高中数学 来源:2015-2016学年福建省高一下周练数学试卷(解析版) 题型:解答题

从高三抽出名学生参加数学竞赛,由成绩得到如下的频率分布直方图.试利用频率分布直方图求:

(1)这名学生成绩的众数与中位数;

(2)这名学生的平均成绩.

查看答案和解析>>

科目:高中数学 来源:2015-2016学年安徽省高二下第一次段考文数学卷(解析版) 题型:选择题

在验证吸烟与否与患肺炎与否有关的统计中,根据计算结果,认为这两件事情无关的可能性不足1%,那到的一个可能取值为()

A.6.635 B.5.024 C.7.897 D.3.841

查看答案和解析>>

科目:高中数学 来源:2015-2016学年黑龙江大庆一中高二下第二次段考理数学卷(解析版) 题型:选择题

已知函数有极大值和极小值,则a的取值范围是( )

A. B.

C. D.

查看答案和解析>>

科目:高中数学 来源:2015-2016学年黑龙江大庆一中高二下第二次段考理数学卷(解析版) 题型:选择题

=(0,-3),则对应的复数为( )

A.0 B.-3 C.-3i D.3

查看答案和解析>>

科目:高中数学 来源:2015-2016学年广东东莞东华高中高一4月月考数学试卷(解析版) 题型:填空题

已知角的终边过点,则

查看答案和解析>>

科目:高中数学 来源:2015-2016学年广东东莞东华高中高一4月月考数学试卷(解析版) 题型:选择题

若把函数的图象向左平移个单位后与函数的图象重合,则的值可能是 ( )

A. B. C. D.

查看答案和解析>>

科目:高中数学 来源:2015-2016学年广东东莞东华高中高二4月月考理科数学卷(解析版) 题型:选择题

已知分别是双曲线的左、右焦点,若关于渐近线的对称点恰落在以为圆心,为半径的圆上,则双曲线的离心率为( )

A. B. C. D.

查看答案和解析>>

科目:高中数学 来源:2015-2016学年黑龙江省高一上学期期末考试数学试卷(解析版) 题型:填空题

已知cos(x﹣)=,x∈().则=___________.

查看答案和解析>>

同步练习册答案