精英家教网 > 高中数学 > 题目详情

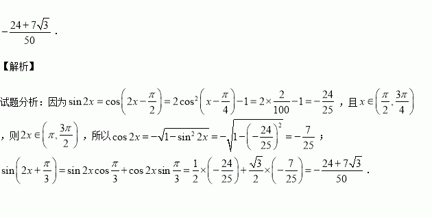
已知cos(x﹣)=,x∈().则=___________.

练习册系列答案
相关习题

科目:高中数学 来源:2015-2016学年广东东莞东华高中高一4月月考数学试卷(解析版) 题型:解答题

已知函数

(1)求函数的最小正周期及单调递减区间;

(2)若的值域.

查看答案和解析>>

科目:高中数学 来源:2015-2016学年广东中山一中高二上第二次段考数学卷(解析版) 题型:解答题

某渔业公司今年初用98万元购进一艘渔船用于捕捞,第一年需各种费用12万元,从第二年开始包括维修费在内,每年所需费用均比上一年增加4万元,该船每年捕捞的总收入为50万元.

(1)该船捕捞几年开始盈利(即总收入减去成本及所有费用之差为正值)?

(2)该船捕捞若干年后,处理方案有两种:

①当年平均盈利达到最大值时,以26万元的价格卖出;

②当盈利总额达到最大值时,以8万元的价格卖出.

问哪一种方案较为合算,请说明理由.

查看答案和解析>>

科目:高中数学 来源:2015-2016学年广东中山一中高二上第二次段考数学卷(解析版) 题型:选择题

则下列不等式:① ;②;③;④中正确的是

A. ①② B. ②③ C. ①④ D. ③④

查看答案和解析>>

科目:高中数学 来源:2015-2016学年黑龙江省高一上学期期末考试数学试卷(解析版) 题型:解答题

已知函数=sin(ωx+φ)﹣cos(ωx+φ)(0<φ<π,ω>0)为偶函数,且函数y=图象的两相邻对称轴间的距离为

(1)求f()的值;

(2)将函数的图象向右平移个单位后,得到函数y=g(x)的图象.求g(x)的单调递减区间.

查看答案和解析>>

科目:高中数学 来源:2015-2016学年黑龙江省高一上学期期末考试数学试卷(解析版) 题型:选择题

是R上的偶函数,且在上递增,若,那么的取值范围是( )

A. B. C. D.

查看答案和解析>>

科目:高中数学 来源:2015-2016学年黑龙江省高一上学期期末考试数学试卷(解析版) 题型:选择题

若角的终边过点,则的值为( )

A. B. C. D.

查看答案和解析>>

科目:高中数学 来源:2015-2016学年江西省抚州市高一上学期期末质量检测数学试卷(解析版) 题型:选择题

函数的部分图像如下右图,则可以取的一组值是( )

A. B.

C. D.

查看答案和解析>>

科目:高中数学 来源:2015-2016学年山东省菏泽市高一上学期期末考试数学试卷(解析版) 题型:选择题

如图所示,E是正方形ABCD所在平面外一点,E在面ABCD上的正投影F恰在AC上,FG∥BC, AB=AE=2,∠EAB=60°.有以下四个命题:

(1)CD⊥面GEF; (2)AG=1;

(3)以AC,AE作为邻边的平行四边形面积是8;

(4)∠EAD=60°.

其中正确命题的个数为( )

A.1 B.2 C.3 D.4

查看答案和解析>>

同步练习册答案