精英家教网 > 高中数学 > 题目详情

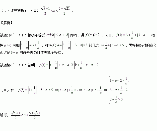
(本小题满分10分)【选修4-5:不等式选讲】

设函数).

(Ⅰ)证明:

(Ⅱ)若,求的取值范围.

练习册系列答案
相关习题

科目:高中数学 来源:2015-2016学年湖北省宜昌市高二上期中理科数学试卷(解析版) 题型:填空题

设b和c分别是先后抛掷一枚骰子得到的点数,则方程有实根的概率为

查看答案和解析>>

科目:高中数学 来源:2016届云南省玉溪市高三上学期期中理科数学试卷(解析版) 题型:选择题

阅读下边的程序框图,运行相应的程序,则输出的值为( )

A.3 B.4 C.5 D.6

查看答案和解析>>

科目:高中数学 来源:2016届辽宁省抚顺市高三上学期第一次模拟文科数学试卷(解析版) 题型:选择题

下列有关命题的说法正确的是( )

A.命题“若,则”的否命题为:“若,则”;

B.“”是“直线和直线互相垂直”的充要条件;

C.命题“,使得”的否定是:“,均有”;

D.命题“已知为一个三角形的两内角,若,则”的逆命题为真命题.

查看答案和解析>>

科目:高中数学 来源:2016届黑龙江省牡丹江市高三上学期期中理科数学试卷(解析版) 题型:解答题

(本小题满分12分)如图,在多面体中,底面是边长为的的菱形,,四边形是矩形,平面平面分别是的中点.

(Ⅰ)求证:平面平面

(Ⅱ)求二面角的大小.

查看答案和解析>>

科目:高中数学 来源:2016届贵州省贵阳市高三上学期第三次月考文科数学试卷(解析版) 题型:选择题

是两个非零向量,若函数的图象是一条直线,则必有( )

A. B. C. D.

查看答案和解析>>

科目:高中数学 来源:2015-2016学年江西南昌二中高二上学期期中文科数学试卷(解析版) 题型:解答题

(本小题满分12分)已知直线,双曲线.①若直线与双曲线的其中一条渐近线平行,求双曲线的离心率;②若直线过双曲线的右焦点,与双曲线交于两点,且,求双曲线方程。

查看答案和解析>>

科目:高中数学 来源:2015-2016学年吉林实验中学高二上学期期中文科数学试卷(解析版) 题型:解答题

(本题满分12分)

已知圆,圆,动圆与圆外切并且与圆内切,圆心的轨迹为曲线

(1)求曲线的轨迹方程;

(2)是与圆以及圆都相切的一条直线,与曲线交于两点,当圆的半径最长时,

的长.

查看答案和解析>>

科目:高中数学 来源:2015-2016学年甘肃省嘉峪关市高二上学期期中考试文科数学试卷(解析版) 题型:选择题

的等比中项,则的最小值为 ( )

A. B. C. D.

查看答案和解析>>

同步练习册答案