精英家教网 > 高中数学 > 题目详情
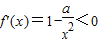
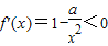
若a>0,判断并证明上的单调性.
【答案】分析:上单调递减,利用导函数,判断当时,即可.
解答:解:上单调递减.
证明:
时,
上单调递减.
点评:本题考查函数的单调性的判断,考查导数知识的运用,属于基础题.
练习册系列答案
相关习题

科目:高中数学 来源: 题型:

若a>0,判断并证明f(X)=x+
a
x
(0,
a
]
上的单调性.

查看答案和解析>>

科目:高中数学 来源:不详 题型:解答题

若a>0,判断并证明f(X)=x+
a
x
(0,
a
]
上的单调性.

查看答案和解析>>

科目:高中数学 来源:同步题 题型:解答题

(1)若a<0,讨论函数f(x)=x+,在其定义域上的单调性;
(2)若a>0,判断并证明f(x)=x+在(0,]上的单调性.

查看答案和解析>>

科目:高中数学 来源:0112 期末题 题型:解答题

(1)若a<0,讨论函数f(x)=x+,在其定义域上的单调性;
(2)若a>0,判断并证明f(x)=x+在(0,]上的单调性。

查看答案和解析>>

同步练习册答案