精英家教网 > 高中数学 > 题目详情

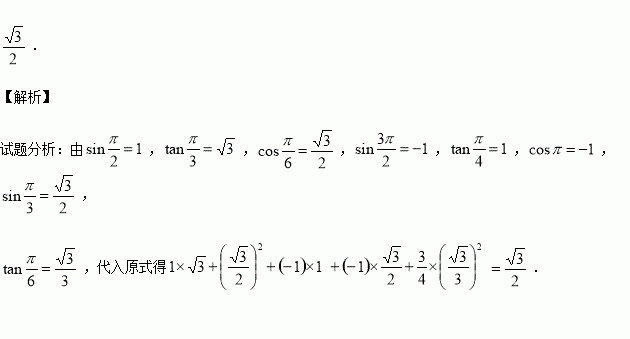
求值

练习册系列答案
相关习题

科目:高中数学 来源:2016届浙江省绍兴市高三上学期期中理科数学试卷(解析版) 题型:解答题

数列满足).

(1)设,求数列的通项公式

(2)设,数列的前项和为,求出并由此证明:

查看答案和解析>>

科目:高中数学 来源:2015-2016学年山西省高二上期中文科数学试卷(解析版) 题型:选择题

已知两条直线,两个平面,下面四个命题中不正确的是

A.

B.

C.

D.

查看答案和解析>>

科目:高中数学 来源:2015-2016学年江苏省高一10月月考数学试卷(解析版) 题型:解答题

已知函数.

(1)求证:函数上是增函数.

(2)求函数上的最大值与最小值.

查看答案和解析>>

科目:高中数学 来源:2015-2016学年吉林省高一上期中文科数学试卷(解析版) 题型:选择题

函数 的零点个数为( )

A.0 B.1 C.2 D.3

查看答案和解析>>

科目:高中数学 来源:2015-2016学年湖北孝感高中高二上学期期中文科数学试卷(解析版) 题型:填空题

在下列给出的命题中,所有正确命题的序号为

①若为互斥事件,则

②若,则成等比数列;

③经过两个不同的点的直线都可以用方程来表示;

④若函数对一切满足:,则函数为奇函数或偶函数;

⑤若函数有两个不同的零点,则

查看答案和解析>>

科目:高中数学 来源:2015-2016学年湖北孝感高中高二上学期期中理科数学试卷(解析版) 题型:选择题

下边程序框图的算法思路源于我国古代数学名著《九章算术》中的“更相减损术”.执行该程序框图,若输入分别为14,18,则输出的

 

A.0 B.2 C.4 D.14

查看答案和解析>>

科目:高中数学 来源:2015-2016学年安徽省蚌埠市高一上学期期中数学试卷(解析版) 题型:选择题

下列函数中既是奇函数又在区间上单调递减的是( )

A.

B.

C.

D.

查看答案和解析>>

科目:高中数学 来源:2015-2016学年浙江慈溪中学高一1-3班上期中数学卷(解析版) 题型:选择题

已知幂函数的图象过点,则的值为( )

A. B. C. D.

查看答案和解析>>

同步练习册答案