精英家教网 > 高中数学 > 题目详情

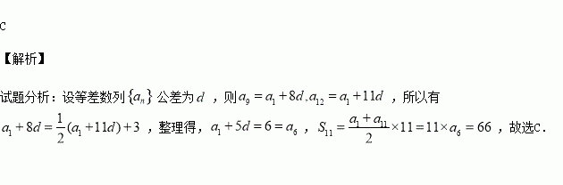
在等差数列中,,则数列的前项和( )

A. B. C. D.

练习册系列答案
相关习题

科目:高中数学 来源:2015-2016学年湖北省襄阳市等高一上学期期中联考数学试卷(解析版) 题型:填空题

计算:_________.

查看答案和解析>>

科目:高中数学 来源:2016届辽宁省大连市高三12月月考文科数学试卷(解析版) 题型:选择题

已知是坐标原点,点,若点 为平面区域上的一个动点,则的取值范围是( )

A. B. C. D.

查看答案和解析>>

科目:高中数学 来源:2016届山东省枣庄市高三12月月考文科数学试卷(解析版) 题型:选择题

已知两个非零向量满足,则下面结论正确的是( )

A. B. C. D.

查看答案和解析>>

科目:高中数学 来源:2016届河北省邯郸市高三一轮收官考试一文科数学试卷(解析版) 题型:选择题

已知集合,则( )

A. B. C. D.

查看答案和解析>>

科目:高中数学 来源:2016届甘肃省高三上第四次月考文科数学试卷(解析版) 题型:选择题

《九章算术》之后,人们进一步用等差数列求和公式来解决更多的问题,《张丘建算经》卷上第22题为:“今有女善织,日益功疾(注:从第2天开始,每天比前一天多织相同量的布),第一天织5尺布,现在一月(按30天计),共织390尺布”,则从第2天起每天比前一天多织( )尺布.

A. B. C. D.

查看答案和解析>>

科目:高中数学 来源:2016届甘肃省高三上第四次月考理科数学试卷(解析版) 题型:选择题

将函数的图象向右平移个单位,再向上平移1个单位,所得函数图象对应的解析式为( )

A.

B.

C.

D.

查看答案和解析>>

科目:高中数学 来源:2016届福建省高三上第二次月考理科数学试卷(解析版) 题型:解答题

(本小题满分10分)

已知等差数列的公差不为零,,且成等比数列.

(1)求的通项公式;

(2)求

查看答案和解析>>

科目:高中数学 来源:2015-2016学年江西省高一创新上期中数学卷(解析版) 题型:填空题

已知函数,则

查看答案和解析>>

同步练习册答案