精英家教网 > 高中数学 > 题目详情

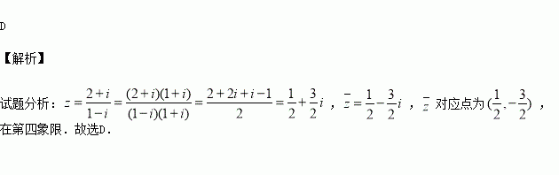
在复平面内,复数, 则其共轭复数对应的点位于( )

A、第一象限 B、第二象限 C、第三象限 D、第四象限

练习册系列答案
相关习题

科目:高中数学 来源:2015-2016学年山东省枣庄市高二10月学情调查数学试卷(解析版) 题型:选择题

的内角所对的边分别为.若,则角( )

A. B. C. D.

查看答案和解析>>

科目:高中数学 来源:2016届河北省邯郸市高三一轮收官考试一文科数学试卷(解析版) 题型:选择题

如下图是一个空间几何体的三视图,则该几何体的全面积为( )

A. B. C. D.

查看答案和解析>>

科目:高中数学 来源:2016届甘肃省高三上第四次月考理科数学试卷(解析版) 题型:选择题

已知,则的最小值是( )

A.2 B. C.4 D.

查看答案和解析>>

科目:高中数学 来源:2016届福建省高三上学期期中文科数学试卷(解析版) 题型:选择题

”是“”的 ( )

A、充分不必要条件

B、必要不充分条件

C、充要条件

D、既不充分也不必要条件

查看答案和解析>>

科目:高中数学 来源:2016届福建省高三上第二次月考文科数学试卷(解析版) 题型:选择题

分别是椭圆的左、右焦点,若椭圆上存在点,使,且,则椭圆离心率为( )

A. B. C. D.

查看答案和解析>>

科目:高中数学 来源:2015-2016学年西藏日喀则一中高二12月文科数学试卷(解析版) 题型:解答题

某河流上的一座水力发电站,每年六月份的发电量(单位:万千瓦时)与该河上游在六月份的降雨量(单位:毫米)有关据统计,当时,每增加10,增加5.已知近20年的值为:140,110,160,70,200,160,140,160,220,200,110,160,160,200,140,110,160,220,140,160.

(1)完成如下的频率分布表:近20年六月份降雨量频率分布表

(2)假定今年六月份的降雨量与近20年六月份降雨量的分布规律相同,并将频率视为概率,求今年六月份该水力发电站的发电量低于490(万千瓦时)或超过530(万千瓦时)的概率.

查看答案和解析>>

科目:高中数学 来源:2015-2016学年辽宁省高二上期中理科数学试卷(解析版) 题型:解答题

设命题是方程的两个根,不等式对任意实数恒成立;命题Q:函数有两个不同的零点.求使“P且Q”为真命题的实数的取值范围.

查看答案和解析>>

科目:高中数学 来源:2015-2016学年湖南师大附中高二上第二次段测文科数学卷(解析版) 题型:选择题

设等差数列的前n项和为,且满足,则中最大的项为( )

A. B. C. D.

查看答案和解析>>

同步练习册答案