精英家教网 > 高中数学 > 题目详情

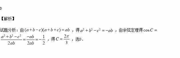
的内角所对的边分别为.若,则角( )

A. B. C. D.

练习册系列答案
相关习题

科目:高中数学 来源:2015-2016学年山东省高二上学期期中考试理科数学试卷(解析版) 题型:填空题

在△中,如果,那么△的面积等于

查看答案和解析>>

科目:高中数学 来源:2015-2016学年江苏省沭阳县高一上学期期中考试数学试卷(解析版) 题型:解答题

已知函数,且

(1)求实数的值;

(2)作出函数的图象并直接写出单调减区间.

查看答案和解析>>

科目:高中数学 来源:2015-2016学年湖南省高二上学期期中考试文科数学试卷(解析版) 题型:解答题

设数列{an}的前n项为Sn,点均在函数y = 3x-2的图象上.

(1)求数列{an}的通项公式。

(2)设,Tn为数列{bn}的前n项和,求使得对所有都成立的最小正整m.

查看答案和解析>>

科目:高中数学 来源:2015-2016学年山东省枣庄市高二10月学情调查数学试卷(解析版) 题型:填空题

在平面四边形ABCD中,∠A=∠B=∠C=75°,BC=3,则AB的取值范围是

查看答案和解析>>

科目:高中数学 来源:2015-2016学年湖南株洲二中高二上第三次月考理数学卷(解析版) 题型:填空题

如图,正四棱柱ABCD—A1B1C1D1中,AA1=2AB=4,点E在C1C上,且C1E=3EC.

(1)证明A1C⊥平面BED;

(2)求二面角A1-DE-B的余弦值.

查看答案和解析>>

科目:高中数学 来源:2016届云南师大附中高考适应性月考四文科数学试卷(解析版) 题型:选择题

若函数,又,且

最小值为,则的值为( )

A. B. C. D.2

查看答案和解析>>

科目:高中数学 来源:2016届河北省高三上第五次月考理科数学试卷(解析版) 题型:选择题

将函数的图象向左平移个单位后的图象关于原点对称,则函数上的最小值为( )

A. B. C. D.

查看答案和解析>>

科目:高中数学 来源:2016届福建省高三上学期期中理科数学试卷(解析版) 题型:选择题

在复平面内,复数, 则其共轭复数对应的点位于( )

A、第一象限 B、第二象限 C、第三象限 D、第四象限

查看答案和解析>>

同步练习册答案