精英家教网 > 高中数学 > 题目详情

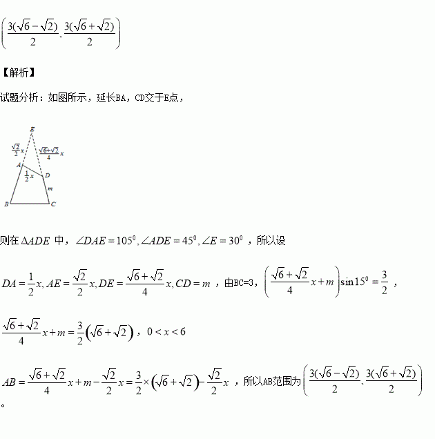
在平面四边形ABCD中,∠A=∠B=∠C=75°,BC=3,则AB的取值范围是

练习册系列答案
相关习题

科目:高中数学 来源:2015-2016学年山东省高二上学期期中考试理科数学试卷(解析版) 题型:解答题

已知点)满足,且点的坐标为

(1)求经过点 的直线的方程;

(2)已知点)在 两点确定的直线上,求证:数列 是等差数列;

(3)在(2)的条件下,求对于所有,能使不等式成立的最大实数的值.

查看答案和解析>>

科目:高中数学 来源:2015-2016学年四川省德阳市高二上学期期中考试数学试卷(解析版) 题型:选择题

一个多面体的三视图如图,则该多面体的表面积为( )

A. B.

C.21 D.18

查看答案和解析>>

科目:高中数学 来源:2015-2016学年湖北省襄阳市等高一上学期期中联考数学试卷(解析版) 题型:选择题

若函数,且,则的图象是( )

查看答案和解析>>

科目:高中数学 来源:2015-2016学年湖南省高二上学期期中考试文科数学试卷(解析版) 题型:解答题

已知{an}是首项为1,公差为2的等差数列,Sn表示{an}的前n项和.

(1)求an及Sn;

(2)设{bn}是首项为2的等比数列,公比q满足q2-(a4+1)q+S4=0,求{bn}的通项公式及其前n项和Tn.

查看答案和解析>>

科目:高中数学 来源:2015-2016学年山东省枣庄市高二10月学情调查数学试卷(解析版) 题型:选择题

的内角所对的边分别为.若,则角( )

A. B. C. D.

查看答案和解析>>

科目:高中数学 来源:2015-2016学年湖南株洲二中高二上第三次月考理数学卷(解析版) 题型:选择题

在平面直角坐标系中,定义d(P,Q)=|x1-x2|+|y1-y2|为两点P(x1,y1),Q(x2,y2)之间的“折线距离”.在这个定义下,给出下列命题:

①到原点的“折线距离”等于1的点的集合是一个正方形;

②到原点的“折线距离”等于1的点的集合是一个圆;

③到M(-1,0),N(1,0)两点的“折线距离”相等的点的轨迹方程是x=0;

④到M(-1,0),N(1,0)两点的“折线距离”差的绝对值为1的点的集合是两条平行线.

其中真命题有( )

A.1个 B.2个 C.3个 D.4个

查看答案和解析>>

科目:高中数学 来源:2016届辽宁省大连市高三12月月考理科数学试卷(解析版) 题型:选择题

是空间中的一个平面,是三条不同的直线,则下列命题中正确的是( )

A.若

B.若

C.若,则

D.若

查看答案和解析>>

科目:高中数学 来源:2016届福建省高三上学期期中文科数学试卷(解析版) 题型:选择题

”是“”的 ( )

A、充分不必要条件

B、必要不充分条件

C、充要条件

D、既不充分也不必要条件

查看答案和解析>>

同步练习册答案