精英家教网 > 高中数学 > 题目详情

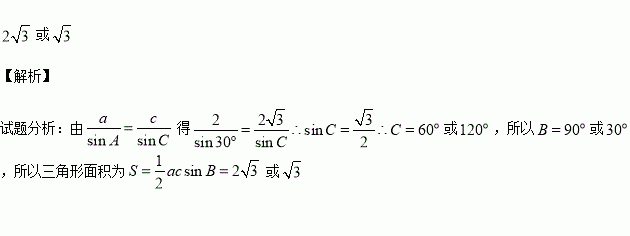
在△中,如果,那么△的面积等于

练习册系列答案
相关习题

科目:高中数学 来源:2015-2016学年山东省高二上学情调查文科数学卷(解析版) 题型:选择题

命题:的否定为( )

A.

B.

C.

D.

查看答案和解析>>

科目:高中数学 来源:2015-2016学年河北省邯郸市等校高二上学期期中文科数学试卷(解析版) 题型:解答题

已知为等比数列,其中,且成等差数列.

(1)求数列的通项公式;

(2)设,求数列的前项和

查看答案和解析>>

科目:高中数学 来源:2015-2016学年山东省高二上学期期中考试文科数学试卷(解析版) 题型:填空题

在直角坐标系中,△ 的三个顶点坐标分别为,动点 是△内的点(包括边界).若目标函数 的最大值为2,且此时的最优解所确定的点 是线段 上的所有点,则目标函数 的最小值为

查看答案和解析>>

科目:高中数学 来源:2015-2016学年山东省高二上学期期中考试理科数学试卷(解析版) 题型:解答题

已知点)满足,且点的坐标为

(1)求经过点 的直线的方程;

(2)已知点)在 两点确定的直线上,求证:数列 是等差数列;

(3)在(2)的条件下,求对于所有,能使不等式成立的最大实数的值.

查看答案和解析>>

科目:高中数学 来源:2015-2016学年湖北省等高二上学期期中联考文科数学试卷(解析版) 题型:解答题

某卖场同时销售变频冷暖空调机和智能洗衣机,这两种产品的市场需求量大,有多少卖多少。今年元旦假期7天该卖场要根据实际情况确定产品的进货数量,以达到总利润最大。已知两种产品直接受资金和劳动力的限制。根据过去销售情况,得到两种产品的有关数据如下表:(表中单位:百元)

试问:怎样确定两种货物的进货量,才能使7天的总利润最大,最大利润是多少?

查看答案和解析>>

科目:高中数学 来源:2015-2016学年湖北省等高二上学期期中联考文科数学试卷(解析版) 题型:选择题

直线与直线互相垂直,则的最大值为( )

A.0 B.2 C.4 D.8

查看答案和解析>>

科目:高中数学 来源:2015-2016学年四川省德阳市高二上学期期中考试数学试卷(解析版) 题型:填空题

已知的三边长分别为边上的点,是平面外一点.给出下列四个命题:

①若平面,且边中点,则有

②若平面,则面积的最小值为

③若平面,则三棱锥的外接球体积为

④若在平面上的射影是内切圆的圆心,则三棱锥的体积为

其中正确命题的序号是 (把你认为正确命题的序号都填上).

查看答案和解析>>

科目:高中数学 来源:2015-2016学年山东省枣庄市高二10月学情调查数学试卷(解析版) 题型:选择题

的内角所对的边分别为.若,则角( )

A. B. C. D.

查看答案和解析>>

同步练习册答案