精英家教网 > 高中数学 > 题目详情
设数列{an}的前n项和为Sn,a1=1,Sn=nan-2n(n-1),
(Ⅰ)求证:数列{an}是等差数列;
(Ⅱ)设数列的前n项和为Tn,求Tn
解:(Ⅰ)由

∴数列{an}是以1为首项,4为公差的等差数列。
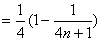
(Ⅱ)由(Ⅰ)知



练习册系列答案
相关习题

科目:高中数学 来源: 题型:

等差数列{an}中,a1=5,a4=-1;设数列{丨an丨}的前n项和为Sn,则S6=(  )

查看答案和解析>>

科目:高中数学 来源: 题型:

已知等差数列{an}的首项为a1,公差为d(a1∈Z,d∈Z),前n项的和为Sn,且S7=49,24<S5<26.
(Ⅰ)求数列{an}的通项公式;
(Ⅱ)设数列{
1anan+1
}
的前n项的和为Tn,求Tn

查看答案和解析>>

科目:高中数学 来源: 题型:

设数列{an}的前n项和为Sn,且a1=1,Sn=nan-2n(n-1).
(Ⅰ)求a2,a3,a4,并求出数列{an}的通项公式;
(Ⅱ)设数列{{
1anan+1
}
}的前n项和为Tn,试求Tn的取值范围.

查看答案和解析>>

科目:高中数学 来源: 题型:

已知数列{an}的前n项和为Sn,a1=1,Sn=nan-2n(n-1).
(Ⅰ)求证:数列{an}为等差数列,并求出an的表达式;
(Ⅱ)设数列{
1anan+1
}的前n项和Tn,试求Tn的取值范围.

查看答案和解析>>

科目:高中数学 来源: 题型:

设数列{an}的前n项和Sn=4-an-.

(1)试求an+1与an的关系;(2)求数列{an}的通项公式.

查看答案和解析>>