精英家教网 > 高中数学 > 题目详情
以椭圆的顶点为顶点,离心率e=2的双曲线方程( )
A.
B.
C.
D.以上都不对
【答案】分析:根据题意,椭圆的顶点为(4,0)、(-4,0)、(0,3)、(0,-3);则双曲线的顶点有两种情况,即在x轴上,为(4,0)、(-4,0);和在y轴上,为(0,3)、(0,-3);分两种情况分别讨论,计算可得a、b的值,可得答案.
解答:解:根据题意,椭圆的顶点为(4,0)、(-4,0)、(0,3)、(0,-3);
故分两种情况讨论,
①双曲线的顶点为(4,0)、(-4,0),焦点在x轴上;
即a=4,由e=2,可得c=8,
b2=64-16=48;
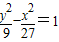
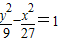
此时,双曲线的方程为
②双曲线的顶点为(0,3)、(0,-3),焦点在y轴上;
即a=3,由e=2,可得c=6,
b2=36-9=27;
此时,双曲线的方程为
综合可得,双曲线的方程为
故选C
点评:本题考查双曲线的标准方程,解题时注意分其焦点或顶点在x、y轴两种情况讨论,其次还要注意两种情况下,方程的形式的不同.
练习册系列答案
相关习题

科目:高中数学 来源: 题型:

以椭圆的顶点为顶点,离心率为的双曲线方程(     )

A.                  B.     

C.     D.以上都不对

查看答案和解析>>

科目:高中数学 来源: 题型:

以椭圆的顶点为顶点,离心率为的双曲线方程(    ).

A.                  B.     

C.     D.以上都不对

查看答案和解析>>

科目:高中数学 来源: 题型:

以椭圆的顶点为顶点,离心率为的双曲线方程(     )

A.                  B.     

C.     D.以上都不对

查看答案和解析>>

科目:高中数学 来源:2015届广东东莞南开实验学校高二上期中理数学卷(解析版) 题型:选择题

以椭圆的顶点为顶点,离心率为的双曲线方程(     )

A.                  B.

C.     D.以上都不对

 

查看答案和解析>>

科目:高中数学 来源:2010-2011学年浙江省名校名师新编“百校联盟”高三第一次调研考试数学理卷 题型:解答题

.已知中心在原点O,焦点在轴上,离心率为的椭圆;以椭圆的顶点为顶点构成的四边形的面积为4.

(Ⅰ)求椭圆的标准方程;

(Ⅱ)若A\B分别是椭圆长轴的左.右端点,动点M满足,直线MA交椭圆于P,求的取值范围.

 

 

 

 

 

查看答案和解析>>

同步练习册答案