精英家教网 > 高中数学 > 题目详情
常数a>0,焦点在x轴上的椭圆x2+a2y2=2a的长轴长是短轴长的3倍,则a的值为( )
A.3
B.
C.
D.
【答案】分析:先把椭圆方程化为标准方程,然后根据题意列一方程组,解出即可.
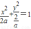
解答:解:x2+a2y2=2a可变为
由题意得,解得a=3.
故选A.
点评:本题考查椭圆的标准方程及简单性质,属基础题.
练习册系列答案
相关习题

科目:高中数学 来源: 题型:

常数a>0,焦点在x轴上的椭圆x2+a2y2=2a的长轴长是短轴长的3倍,则a的值为(  )

查看答案和解析>>

科目:高中数学 来源:学习周报 数学 人教课标高二版(A选修2-1) 2009-2010学年 第17期 总第173期 人教课标版(A选修2-1) 题型:013

下列说法中,正确的是

[  ]
A.

平面上与两个点F1,F2的距离之和等于常数的点的轨迹是椭圆

B.

与两个定点F1,F2的距离之和等于常数(大于等于|F1F2|)的点的轨迹是椭圆

C.

方程=1(a>c>0)表示焦点在x轴上的椭圆

D.

方程=1(a>0,b>0)表示焦点在y轴上的椭圆

查看答案和解析>>

科目:高中数学 来源: 题型:单选题

常数a>0,焦点在x轴上的椭圆x2+a2y2=2a的长轴长是短轴长的3倍,则a的值为


  1. A.
    3
  2. B.
    数学公式
  3. C.
    数学公式
  4. D.
    数学公式

查看答案和解析>>

科目:高中数学 来源:不详 题型:单选题

常数a>0,焦点在x轴上的椭圆x2+a2y2=2a的长轴长是短轴长的3倍,则a的值为(  )
A.3B.
1
3
C.
3
D.
3
3

查看答案和解析>>

同步练习册答案