精英家教网 > 高中数学 > 题目详情

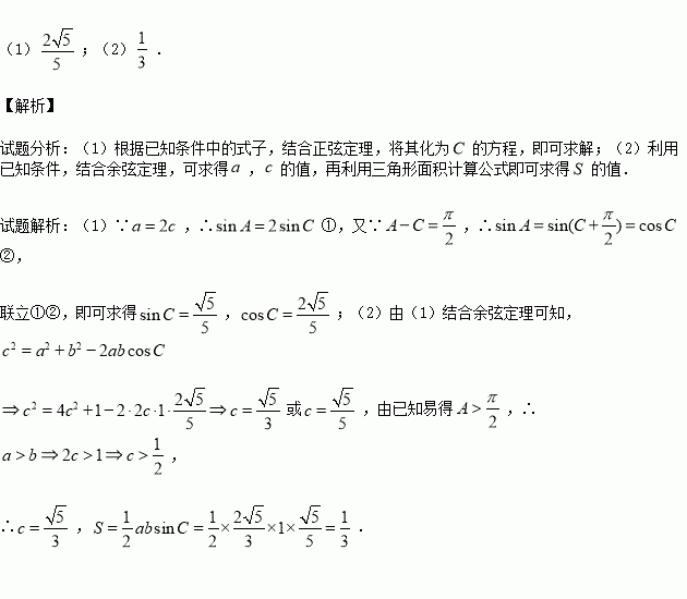
中,角所对的边为.已知,且

(1)求的值;

(2)当时,求的面积

练习册系列答案
相关习题

科目:高中数学 来源:2015-2016学年广东省高二上学期期中考试文科数学试卷(解析版) 题型:填空题

某班有学生48人,现用系统抽样的方法,抽取一个容量为6的样本,已知座位号分别为6,14,30,38,46的同学都在样本中,那么样本中另一位同学的座位号应该是

查看答案和解析>>

科目:高中数学 来源:2016届山东师大附中高三上学期二模理科数学试卷(解析版) 题型:选择题

已知集合( )

A. B. C. D.

查看答案和解析>>

科目:高中数学 来源:2016届福建省高三第一次月考理科数学试卷(解析版) 题型:解答题

已知函数f(x)是(-∞,+∞)上的奇函数,且f(x)的图象关于x=1对称,当x∈[0,1]时,f(x)=2x-1,

(1)当x∈[1,2]时,求f(x)的解析式;

(2)计算f(0)+f(1)+f(2)+…+f(2015)的值.

查看答案和解析>>

科目:高中数学 来源:2014-2015学年浙江宁波效实中学高三上学期期中文科数学试卷(解析版) 题型:填空题

已知三角形中,过中线的中点任作一条直线分别交边两点,设,则的最小值为

查看答案和解析>>

科目:高中数学 来源:2015-2016学年四川成都七中高二10月段考文科数学试卷(解析版) 题型:解答题

己知一几何体的三视图,试根据三视图计算出它的表面积和体积(结果保留

查看答案和解析>>

科目:高中数学 来源:2015-2016学年四川成都七中高二10月段考理科数学试卷(解析版) 题型:填空题

直线被圆截得弦的长为

查看答案和解析>>

科目:高中数学 来源:2014-2015学年四川省高一下学期月考测文科数学试卷(解析版) 题型:选择题

在等差数列中,若,则的值等于( )

A.45 B.75 C.300 D.180

查看答案和解析>>

科目:高中数学 来源:2014-2015学年山西省高二下学期期中文科数学试卷(解析版) 题型:解答题

(本小题满分12分)为了更好的了解某校高三学生期中考试的数学成绩情况,从所有高三学生中抽取40名学生,将他们的数学成绩(满分100分,成绩均为不低于40分的整数)分成六段:[40,50),[50,60),…,[90,100]后得到如图所示的频率分布直方图.

(1)若该校高三年级有1800人,试估计这次考试的数学成绩不低于60分的人数及60分以上的学生的平均分;

(2)若从[40,50)与[90,100]这两个分数段内的学生中随机选取两名学生,求这两名学生成绩之差的绝对值不大于10的概率

查看答案和解析>>

同步练习册答案