精英家教网 > 高中数学 > 题目详情

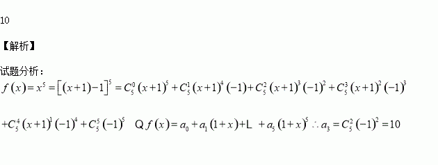
若将函数f(x)=x5表示为f(x)=a0+a1(1+x)+a2(1+x)2+…+a5(1+x)5,其中a0,a1,a2,…,a5为实数,则a3= _.

练习册系列答案
相关习题

科目:高中数学 来源:2016届四川省成都市高三11月段测三文科数学试卷(解析版) 题型:填空题

函数f(x)=的定义域为

查看答案和解析>>

科目:高中数学 来源:2015-2016学年安徽师大附中高二上学期期中文科数学试卷(解析版) 题型:解答题

已知圆C :(x-1)2+(y-2)2=2,点P坐标为(2,-1),过点P作圆C的切线,切点为A、B.

(1)求直线PA,PB的方程;

(2)求切线长的值;

(3)求直线AB的方程.

查看答案和解析>>

科目:高中数学 来源:2015-2016学年陕西省西安市高二上学期期中考试理科数学试卷(解析版) 题型:填空题

在△ABC中,cosA=,sinB=,则cosC的值为

查看答案和解析>>

科目:高中数学 来源:2015-2016学年辽宁省葫芦岛市高一上学期期中考试数学试卷(解析版) 题型:选择题

若函数y=f(x)为偶函数,且在(0,+∞)上是减函数,又f(3)=0,则的解集为( )

A.(-3,3)

B.(-3,0)∪(3,+∞)

C.(-∞,-3)∪(0,3)

D.(-∞,-3)∪(3,+∞)

查看答案和解析>>

科目:高中数学 来源:2015-2016学年黑龙江省高二上学期期中数学试卷(解析版) 题型:填空题

已知不等式组,表示的平面区域为M,若直线与平面区域M有公共点,则k的取值集合是______________.

查看答案和解析>>

科目:高中数学 来源:2015-2016学年湖南省高二上学期期中文科数学试卷(解析版) 题型:解答题

已知{an}是等差数列,其中a1=25,a4=16

(1)数列{an}从哪一项开始小于0;

(2)求a1+a3+a5+…+a19值.

查看答案和解析>>

科目:高中数学 来源:2015-2016学年江苏省无锡市四校高二上学期期中考试数学试卷(解析版) 题型:填空题

已知椭圆,F1,F2是左右焦点,是右准线,若椭圆上存在点P,使|PF1|是P到直线的距离的2倍,则椭圆离心率的取值范围是

查看答案和解析>>

科目:高中数学 来源:2015-2016学年湖南省高二上学期期中考试理科数学试卷(解析版) 题型:选择题

中,是角A,B,C的对边,若成等比数列,,则( )

A. B. C. D.

查看答案和解析>>

同步练习册答案