精英家教网 > 高中数学 > 题目详情

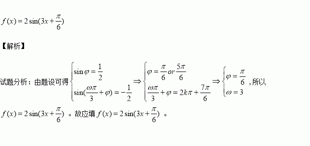
函数的图像如下图所示,已知图像经过点,则__________。

练习册系列答案
相关习题

科目:高中数学 来源:2016届黑龙江哈尔滨一中高三第二次模拟考试数学(理)卷(解析版) 题型:填空题

,则的值是______.

查看答案和解析>>

科目:高中数学 来源:2016届河北沧州市高三4月调研数学(文)试卷(解析版) 题型:解答题

四棱锥中,底面为矩形,底面分别为的中点。

(Ⅰ)求证:平面

(Ⅱ)设,求三棱锥的体积。

查看答案和解析>>

科目:高中数学 来源:2016届河北沧州市高三4月调研数学(文)试卷(解析版) 题型:选择题

同时掷两个均匀的正方体骰子,则向上的点数之和为5的概率为( )

A. B. C. D.

查看答案和解析>>

科目:高中数学 来源:2016届河北沧州市高三4月调研数学(理)试卷(解析版) 题型:解答题

如下图,已知是以为圆心,以4为半径的圆上的动点,所连线段的垂直平分线与线段交于点

(Ⅰ)求点的轨迹的方程;

(Ⅱ)已知点坐标为(4,0),并且倾斜角为锐角的直线经过点并且与曲线相交于两点,

(ⅰ)求证:

(ⅱ)若,求直线的方程。

查看答案和解析>>

科目:高中数学 来源:2016届河北沧州市高三4月调研数学(理)试卷(解析版) 题型:选择题

已知函数,设函数若函数的最大值为2,则( )

A.0 B.1 C.2 D.3

查看答案和解析>>

科目:高中数学 来源:2016届河北沧州市高三4月调研数学(理)试卷(解析版) 题型:选择题

某地区有大型超市个,中型超市个,小型超市个,,为了掌握该地区超市的营业情况,采用分层抽样的方法抽取一个容量为30的样本,则抽取的中型超市的个数为( )

A.2 B.5 C.10 D.18

查看答案和解析>>

科目:高中数学 来源:2016届福建厦门外国语学校高三5月适应性数学(文)试卷(解析版) 题型:选择题

,分别为双曲线的左,右焦点.若在双曲线右支上存在一点,满足,且到直线的距离等于双曲线的实轴长,则该双曲线的离心率为( )

A. B. C. D.

查看答案和解析>>

科目:高中数学 来源:2016届四川泸州市高三教学诊断性考试三数学(理)试卷(解析版) 题型:填空题

若直线与圆交于两点(其中为坐标原点),则的最小值为_________。

查看答案和解析>>

同步练习册答案