精英家教网 > 高中数学 > 题目详情

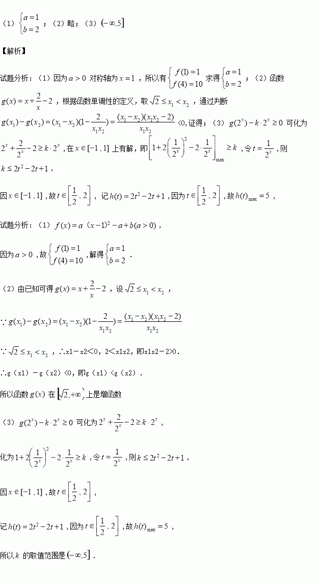
已知函数在区间上有最大值10和最小值1.

的值;

证明:函数上是增函数

若不等式上有解,求实数的取值范围;

练习册系列答案
相关习题

科目:高中数学 来源:2016届江西省新余市高三第四次模拟考理科数学试卷(解析版) 题型:解答题

已知函数

(1)求函数在区间上的最大值;

(2)若(其中为常数),当时,设函数的3个极值点为证明

查看答案和解析>>

科目:高中数学 来源:2016届河南省郑州市高三上学期联考文科数学试卷(解析版) 题型:选择题

在数列中,若对任意的均有为定值,且,则数列的前100项的和( )

A.132 B.299 C.68 D.99

查看答案和解析>>

科目:高中数学 来源:2015-2016学年浙江省温州市十校联合体高一上学期期中考试数学试卷(解析版) 题型:选择题

设函数,则的值域是

A. B.

C. D.

查看答案和解析>>

科目:高中数学 来源:2015-2016学年浙江省温州市高一上学期期中考试数学试卷(解析版) 题型:选择题

下列函数为偶函数,且在上单调递增的函数是( )

A. B.

C. D.

查看答案和解析>>

科目:高中数学 来源:2015-2016学年江苏省无锡市四校高一上学期期中考试数学试卷(解析版) 题型:填空题

设集合,则

查看答案和解析>>

科目:高中数学 来源:2015-2016学年广东省汕头市高一上学期期中考试数学试卷(解析版) 题型:解答题

已知函

(1)求实数m的值.

(2)作出函数的图象,并根据图象写出的单调区间

(3)若方程有三个实数解,求实数的取值范围.

查看答案和解析>>

科目:高中数学 来源:2014-2015学年贵州省高二上学期半期考试理科数学试卷(解析版) 题型:选择题

已知椭圆的两个焦点为,且,弦AB过点,则△的周长为( )

A.10 B.20 C.2 D.

查看答案和解析>>

科目:高中数学 来源:2015-2016学年吉林省高二11月月考理科数学卷(解析版) 题型:选择题

如果实数,满足约束条件,则的最大值为( )

A. B. C. D.

查看答案和解析>>

同步练习册答案