精英家教网 > 高中数学 > 题目详情
设{an}是公差不为零的等差数列,Sn为其前n项和,满足S6=0,S7=7,求数列{an}的通项公式及前n项和Sn
【答案】分析:设数列{an}的公差为d,首项为a1,由S6=0,S7=7,得到关于a1与公差d的方程组,解之即可.
解答:解:设数列{an}的公差为d,首项为a1
∵S6=0,
∴a1+a6=0,
∴2a1+5d=0①…(3分)
又∵S7=7a4=7,
∴a4=a1+3d=1②…(6分)
由①②解得a1=-5,d=2…(8分)
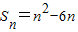
所以数列{an}的通项公式为an=2n-7,前n项和…(10分)
点评:本题等差数列的通项公式与求和公式,熟练掌握等差数列的通项公式与求和公式是迅速解决问题的关键,属于基础题.
练习册系列答案
相关习题

科目:高中数学 来源: 题型:

设{an}是公差不为0的等差数列,a1=2且a1,a3,a6成等比数列,则{an}的前n项和Sn=(  )
A、
n2
4
+
7n
4
B、
n2
3
+
5n
3
C、
n2
2
+
3n
4
D、n2+n

查看答案和解析>>

科目:高中数学 来源: 题型:

设{an}是公差不为0的等差数列,a1=2且a1,a3,a6成等比数列,则{an}的通项公式为an=
n+3
2
n+3
2

查看答案和解析>>

科目:高中数学 来源: 题型:

(2012•佛山一模)设{an}是公差不为0的等差数列,a1=2且a1,a3,a6成等比数列,则{an}的前5项和S5=(  )

查看答案和解析>>

科目:高中数学 来源: 题型:

设{an}是公差不为零的等差数列,Sn为其前n项和,满足S6=0,S7=7,求数列{an}的通项公式及前n项和Sn

查看答案和解析>>

科目:高中数学 来源: 题型:

设{an}是公差不为0的等差数列,a1=2,且a1,a3,a6成等比数列,则a5的值为
4
4

查看答案和解析>>

同步练习册答案