精英家教网 > 高中数学 > 题目详情

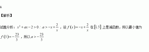
若不等式在区间上有解,则a的取值范围为( )

A.(,) B. C. D.

练习册系列答案
相关习题

科目:高中数学 来源:2015-2016学年陕西省西安市高二上学期期中考试文科数学试卷(解析版) 题型:选择题

如果函数f(x)对任意a,b满足f(a+b)=f(a)·f(b),且f(1)=2,则+…+=( )

A.4 018 B.1 006 C.2 010 D.2 014

查看答案和解析>>

科目:高中数学 来源:2015-2016学年江苏省高一上学期期中数学试卷(解析版) 题型:解答题

某投资公司计划投资A,B两种金融产品,根据市场调查与预测,A产品的利润与投资量成正比,其关系如图1,B产品的利润与投资量的算术平方根成正比例,其关系如图2,(注:利润与投资量单位:万元)

(1)分别将A,B两产品的利润表示为投资量的函数关系式;

(2)该公司已有10万元资金,并全部投入A,B两种产品中,问:怎样分配这10万元投资,才能使公司获得最大利润?其最大利润为多少万元?

查看答案和解析>>

科目:高中数学 来源:2015-2016学年安徽师大附中高二上学期期中理科数学试卷(解析版) 题型:填空题

已知点P为抛物线上的动点,点P在x轴上的射影为M,点A的坐标是,则的最小值是______________.

查看答案和解析>>

科目:高中数学 来源:2015-2016学年四川省实验学校高二上学期期中理科数学试卷(解析版) 题型:选择题

过点作圆的两切线,设两切点为,圆心为,则过的圆方程是

A. B.

C. D.

查看答案和解析>>

科目:高中数学 来源:2015-2016学年辽宁省葫芦岛市高一上学期期中考试数学试卷(解析版) 题型:填空题

已知 是(-∞,+∞)上的增函数,那么a的取值范围是

查看答案和解析>>

科目:高中数学 来源:2015-2016学年江西铅山一中 、横峰中学高二上学期期中理科数学卷(解析版) 题型:选择题

某次联欢会要安排3个歌舞类节目、2个小品类节目和1个相声类节目的演出顺序,则同类节目不相邻的排法种数是( )

A.72 B.120 C.144 D.16

查看答案和解析>>

科目:高中数学 来源:2015-2016学年山东省高一上学期期中模块考试数学试卷(解析版) 题型:填空题

幂函数的图象过点,那么的值为

查看答案和解析>>

科目:高中数学 来源:2015-2016学年吉林省扶余市高二上学期期中考试文科数学试卷(解析版) 题型:选择题

下列命题为特称命题的是( )

A.偶函数的图像关于y轴对称

C.不相交的两条直线是平行直线

B.正四棱柱都是平行六面体

D.存在实数大于3

查看答案和解析>>

同步练习册答案