精英家教网 > 高中数学 > 题目详情

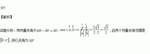
已知向量 ,则a与b夹角的大小为_________.

练习册系列答案
相关习题

科目:高中数学 来源:2016年全国普通高等学校招生统一考试数学(江苏卷参考版) 题型:解答题

已知函数.设.

(1)求方程=2的根;

(2)若对任意,不等式恒成立,求实数m的最大值;

(3)若,函数有且只有1个零点,求ab的值。

查看答案和解析>>

科目:高中数学 来源:2016年全国普通高等学校招生统一考试文科数学(天津卷参考版) 题型:解答题

已知是等比数列,前n项和为,且.

(Ⅰ)求的通项公式;

(Ⅱ)若对任意的的等差中项,求数列的前2n项和.

查看答案和解析>>

科目:高中数学 来源:2016年全国普通高等学校招生统一考试文科数学(天津卷参考版) 题型:选择题

已知集合,则=( )

(A) (B) (C) (D)

查看答案和解析>>

科目:高中数学 来源:2016年全国普通高等学校招生统一考试文科数学(北京卷参考版) 题型:填空题

某网店统计了连续三天售出商品的种类情况:第一天售出19种商品,第二天售出13种商品,第三天售出18种商品;前两天都售出的商品有3种,后两天都售出的商品有4种,则该网店

①第一天售出但第二天未售出的商品有______种;

②这三天售出的商品最少有_______种.

查看答案和解析>>

科目:高中数学 来源:2016年全国普通高等学校招生统一考试文科数学(北京卷参考版) 题型:选择题

下列函数中,在区间 上为减函数的是

(A) (B) (C) (D)

查看答案和解析>>

科目:高中数学 来源:2016年全国普通高等学校招生统一考试理科数学(全国3卷参考版) 题型:解答题

设函数,其中,记的最大值为

(Ⅰ)求

(Ⅱ)求

(Ⅲ)证明

查看答案和解析>>

科目:高中数学 来源:2016年全国普通高等学校招生统一考试理科数学(全国3卷参考版) 题型:选择题

某旅游城市为向游客介绍本地的气温情况,绘制了一年中月平均最高气温和平均最低气温的雷达图。图中A点表示十月的平均最高气温约为150C,B点表示四月的平均最低气温约为50C。下面叙述不正确的是

(A)各月的平均最低气温都在00C以上

(B)七月的平均温差比一月的平均温差大

(C)三月和十一月的平均最高气温基本相同

(D)平均气温高于200C的月份有5个

查看答案和解析>>

科目:高中数学 来源:2016年全国普通高等学校招生统一考试理科数学(全国2卷参考版) 题型:选择题

已知是双曲线的左,右焦点,点上,轴垂直,,则E的离心率为( )

(A) (B) (C) (D)2

查看答案和解析>>

同步练习册答案