精英家教网 > 高中数学 > 题目详情

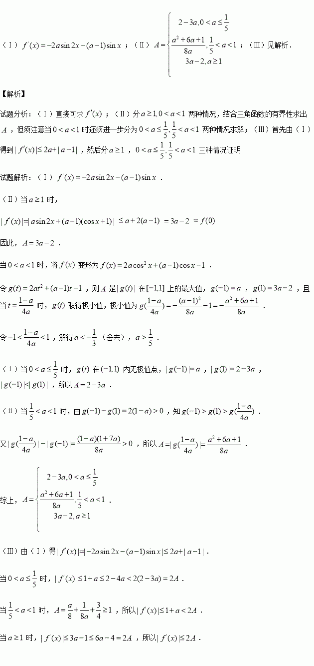
设函数,其中,记的最大值为

(Ⅰ)求

(Ⅱ)求

(Ⅲ)证明

练习册系列答案
相关习题

科目:高中数学 来源:2016年全国普通高等学校招生统一考试数学(江苏卷参考版) 题型:填空题

将一颗质地均匀的骰子(一种各个面上分别标有1,2,3,4,5,6个点的正方体玩具)先后抛掷2次,则出现向上的点数之和小于10的概率是 .

查看答案和解析>>

科目:高中数学 来源:2016年全国普通高等学校招生统一考试文科数学(天津卷参考版) 题型:选择题

已知是定义在上的偶函数,且在区间上单调递增,若实数满足,则的取值范围是( )

(A) (B) (C) (D)

查看答案和解析>>

科目:高中数学 来源:2016年全国普通高等学校招生统一考试文科数学(北京卷参考版) 题型:填空题

已知向量 ,则a与b夹角的大小为_________.

查看答案和解析>>

科目:高中数学 来源:2016年全国普通高等学校招生统一考试文科数学(北京卷参考版) 题型:选择题

复数

(A)i(B)1+i(C) (D)

查看答案和解析>>

科目:高中数学 来源:2016年全国普通高等学校招生统一考试理科数学(全国3卷参考版) 题型:填空题

已知直线与圆交于两点,过分别做的垂线与轴交于两点,若,则__________________.

查看答案和解析>>

科目:高中数学 来源:2016年全国普通高等学校招生统一考试理科数学(全国3卷参考版) 题型:选择题

如图,网格纸上小正方形的边长为1,粗实现画出的是某多面体的三视图,则该多面体的表面积为

(A) (B) (C)90 (D)81

查看答案和解析>>

科目:高中数学 来源:2016年全国普通高等学校招生统一考试文科数学(全国3卷参考版) 题型:填空题

已知为偶函数,当 时,,则曲线在点处的切线方程式_____________________________.

查看答案和解析>>

科目:高中数学 来源:2016年全国普通高等学校招生统一考试理科数学(全国1卷参考版) 题型:解答题

选修4—4:坐标系与参数方程

在直角坐标系xy中,曲线C1的参数方程为(t为参数,a>0).在以坐标原点为极点,x轴正半轴为极轴的极坐标系中,曲线C2:ρ=.

(Ⅰ)说明C1是哪一种曲线,并将C1的方程化为极坐标方程;

(Ⅱ)直线C3的极坐标方程为,其中满足tan=2,若曲线C1与C2的公共点都在C3上,求a.

查看答案和解析>>

同步练习册答案