精英家教网 > 高中数学 > 题目详情

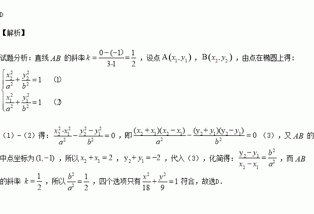
已知椭圆的右焦点为,过点的直线交椭圆于两点.若

的中点坐标为,则的方程为( )

A. B. C. D.

练习册系列答案
相关习题

科目:高中数学 来源:2016届浙江省等高三第一次五校联考文科数学试卷(解析版) 题型:选择题

定义域为的偶函数满足对,有,且当时,,若函数至少有6个零点,则的取值范围是( )

A. B. C. D.

查看答案和解析>>

科目:高中数学 来源:2015-2016学年河北冀州中学高二上第三次月考理科数学卷(解析版) 题型:填空题

已知函数,若函数有3个零点,则实数

取值范围是

查看答案和解析>>

科目:高中数学 来源:2015-2016学年宁夏石嘴山三中高一上期中数学试卷(解析版) 题型:解答题

不用计算器求下列各式的值:

(1)

(2)

查看答案和解析>>

科目:高中数学 来源:2015-2016学年宁夏石嘴山三中高二上期中文科数学试卷(解析版) 题型:选择题

已知椭圆的右焦点为,过点的直线交椭圆于两点.若

的中点坐标为,则的方程为( )

A. B.

C. D.

查看答案和解析>>

科目:高中数学 来源:2015-2016学年宁夏石嘴山三中高二上第一次月考数学试卷(解析版) 题型:填空题

某大学中文系共有本科生5000人,其中一、二、三、四年级的学生比为5:4:3:1,要用分

层抽样的方法从该系所有本科生中抽取一个容量为260的样本,则应抽二年级的学生

查看答案和解析>>

科目:高中数学 来源:2015-2016学年江西省高二上第一次段考文数学卷(解析版) 题型:选择题

对于实数,定义运算:,若对任意,不等式都成

立,则实数的取值范围是( )

A.

B.

C.

D.

查看答案和解析>>

科目:高中数学 来源:2015-2016学年吉林省高二上期中理科数学试卷(解析版) 题型:选择题

和点在直线的两侧,则的取值范围是( )

A. B.

C. D.

查看答案和解析>>

科目:高中数学 来源:2015-2016学年福建省龙海市高二上学期期中理科数学试卷(解析版) 题型:填空题

某中学为了解学生数学课程的学习情况,在3000名学生中随机抽取200名,并统计这200名学生的某次数学考试成绩,得到了样本的频率分布直方图(如下图).根据频率分布直方图推测这3000名学生在该次数学考试中成绩小于60分的学生数是

查看答案和解析>>

同步练习册答案