精英家教网 > 高中数学 > 题目详情

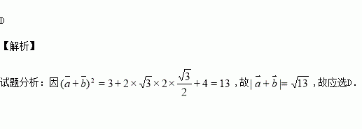
平面向量的夹角为30°,已知,则( )

A. B. C. D.

练习册系列答案
相关习题

科目:高中数学 来源:2017届河南安阳市高三9月调研测试数学(文)试卷(解析版) 题型:选择题

如图,一个几何体的三视图分别为两个等腰直角三角形和一个边长为2的正方形及其一条对角线,则该几何体的侧面积为( )

A. B. C. D.

查看答案和解析>>

科目:高中数学 来源:2016届山西右玉一中高三冲刺压轴卷四数学(文)试卷(解析版) 题型:选择题

若将函数的图象向右平移个单位,所得图象关于轴对称,则的最小正值是( )

A. B. C. D.

查看答案和解析>>

科目:高中数学 来源:2016届山西右玉一中高三冲刺压轴卷四数学(理)试卷(解析版) 题型:解答题

是锐角三角形,三个内角所对的边分别记为,并且

(1)求角的值;

(2)若,求(其中

查看答案和解析>>

科目:高中数学 来源:2016届山西右玉一中高三冲刺压轴卷四数学(理)试卷(解析版) 题型:选择题

下列推断错误的个数是( )

①命题“若,则”的逆否命题为“若

②命题“若,则”的否命题为:若“

③“”是“”的充分不必要条件

④命题“,使得”的否定是:“,均有”.

A.1 B.2 C.3 D.4

查看答案和解析>>

科目:高中数学 来源:2016届青海西宁五中四中十四中高三下联考数学(文)试卷(解析版) 题型:解答题

已知函数

(1)设曲线处的切线与直线平行,求此切线方程;

(2)当时,令函数,求函数在定义域内的极值点.

查看答案和解析>>

科目:高中数学 来源:2016届青海西宁五中四中十四中高三下联考数学(文)试卷(解析版) 题型:填空题

在数列中,已知,则=

查看答案和解析>>

科目:高中数学 来源:2016-2017学年河北冀州市高二上月考二文数学试卷(解析版) 题型:解答题

已知集合

(1)若,求的取值范围;

(2)当取使不等式恒成立的的最小值时,求

查看答案和解析>>

科目:高中数学 来源:2016-2017学年河北冀州市高二上月考二理数学试卷(解析版) 题型:选择题

数列的首项为1,为等比数列且,若,则( )

A.16 B.32 C.4 D.8

查看答案和解析>>

同步练习册答案