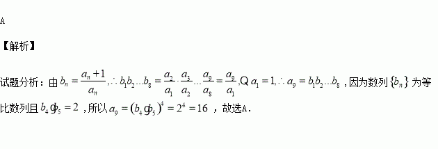
精英家教网 > 高中数学 > 题目详情

数列的首项为1,为等比数列且,若,则( )

A.16 B.32 C.4 D.8

练习册系列答案
相关习题

科目:高中数学 来源:2016届山西右玉一中高三冲刺压轴卷四数学(理)试卷(解析版) 题型:选择题

平面向量的夹角为30°,已知,则( )

A. B. C. D.

查看答案和解析>>

科目:高中数学 来源:2016-2017学年河北冀州市高二上月考二文数学试卷(解析版) 题型:选择题

满足约束条件,则的最大值为( )

A.10 B.8 C.3 D.2

查看答案和解析>>

科目:高中数学 来源:2016-2017学年河北冀州市高二上月考二理数学试卷(解析版) 题型:填空题

,则等于_____________.

查看答案和解析>>

科目:高中数学 来源:2016-2017学年河北冀州市高二上月考二理数学试卷(解析版) 题型:选择题

展开式中只有第六项的二项式系数最大,则展开式中的常数项是( )

A.90 B.45 C.120 D.180

查看答案和解析>>

科目:高中数学 来源:2016-2017学年河北冀州市高二上月考二理数学试卷(解析版) 题型:选择题

,则的大小关系是( )

A. B.

C. D.

查看答案和解析>>

科目:高中数学 来源:2015-2016学年湖南衡阳县四中高一下期期末数学试卷(解析版) 题型:解答题

已知,求的值

查看答案和解析>>

科目:高中数学 来源:2017届重庆市高三上学期入学考试数学(理)试卷(解析版) 题型:解答题

[选修4—5:不等式选讲]

设函数

(1)求证:当时,不等式成立.

(2)关于的不等式在R上恒成立,求实数的最大值.

查看答案和解析>>

科目:高中数学 来源:2017届河南息县第一高级中学高三上阶段测三数学(文)试卷(解析版) 题型:选择题

满足不等式的实数使关于的一元二次方程有实数根的概率是( )

A. B. C. D.

查看答案和解析>>

同步练习册答案