精英家教网 > 高中数学 > 题目详情

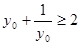
已知抛物线的焦点为,准线与y轴的交点为为抛物线上的任意一点,且满足,则的取值范围是____  

 

【答案】

【解析】

试题分析:由题意知,设,则,由;显然当时,;当时,,因为所以,即,综上可知.

考点:抛物线的定义、基本不等式,以及分类思想,考查学生的分析、计算能力.

 

练习册系列答案
相关习题

科目:高中数学 来源:2013-2014学年浙江省高三上学期第三次统练理科数学试卷(解析版) 题型:解答题

已知抛物线的焦点为,准线为,点为抛物线C上的一点,且的外接圆圆心到准线的距离为

(I)求抛物线C的方程;

(II)若圆F的方程为,过点P作圆F的2条切线分别交轴于点,求面积的最小值时的值.

 

查看答案和解析>>

科目:高中数学 来源:2014届海南省高二上期末考试文科数学试卷(解析版) 题型:选择题

已知抛物线的焦点为,点在抛物线上,且, 则有    (   )

A.                   B.

C.                  D.

 

查看答案和解析>>

科目:高中数学 来源:2010-2011学年浙江省台州市高三调研考试理数 题型:选择题

已知抛物线的焦点为关于原点的对称点为轴的垂线交抛物线于两点.有下列四个命题:①必为直角三角形;②不一定为直角三角形;③直线必与抛物线相切;④直线不一定与抛物线相切.其中正确的命题是

(A)①③             (B)①④             (C)②③                 (D)②④

 

查看答案和解析>>

科目:高中数学 来源:2010-2011年黑龙江省高二上学期期末考试数学理卷 题型:选择题

已知抛物线的焦点为F,准线为,经过F且斜率为的直线与抛物线在轴上方的部分相交于点A,且AK,垂足为K,则的面积是(  )

A 4     B        C       D 8

 

查看答案和解析>>

科目:高中数学 来源:2012届海南省高二年级第一学期期末考试理科数学卷 题型:选择题

已知抛物线的焦点为,点在抛物线上,且,则有(  )

A.        B.

C.      D.

 

查看答案和解析>>

同步练习册答案