精英家教网 > 高中数学 > 题目详情

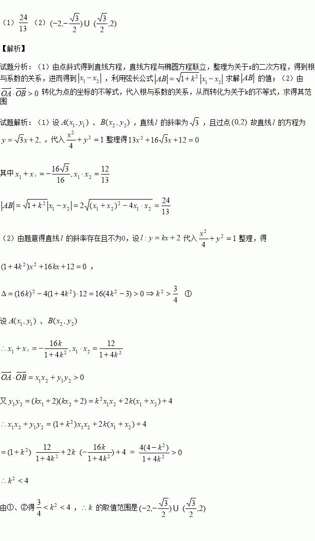
已知椭圆C方程为 ,直线过定点M(0,2)且与椭圆C交于不同的两点A,B

(1)若直线倾斜角为 ,求的值.

(2) 若,求直线的斜率的取值范围.

练习册系列答案
相关习题

科目:高中数学 来源:2015-2016学年江苏启东中学高二上学期期中文科数学试卷(解析版) 题型:填空题

下列命题:

其中所有真命题的序号是

查看答案和解析>>

科目:高中数学 来源:2015-2016学年四川省德阳市高一10月月考数学试卷(解析版) 题型:选择题

已知 则不等式的解集是( )

A、 B、

C、 D、

查看答案和解析>>

科目:高中数学 来源:2015-2016学年江苏省泰州市姜堰区高二上学期期中考试理科数学试卷(解析版) 题型:填空题

已知是双曲线)的一个焦点,则

查看答案和解析>>

科目:高中数学 来源:2015-2016学年河北省高一10月月考数学试卷(解析版) 题型:解答题

(12分)如图所示,折线是某电信局规定打长途电话所需要付的电话费y(元)与通话时间t(分钟)之间的函数关系的图象,根据图象回答下列问题:

(1)求的值;

(2)求的解析式及其值域。

查看答案和解析>>

科目:高中数学 来源:2015-2016学年河北省高二10月月考文科数学试卷(解析版) 题型:选择题

已知中心在原点的椭圆C的上焦点为,离心率等于,则C的方程是 ( )

A. B.

C. D.

查看答案和解析>>

科目:高中数学 来源:2015-2016学年广东省英德市高一上学期第一次月考数学试卷(解析版) 题型:解答题

(本小题满分12分)已知函数

(1)判断并用定义证明函数的奇偶性;

(2)判断并用定义证明函数在上的单调性

查看答案和解析>>

科目:高中数学 来源:2015-2016学年广东省高一上学期期中考试数学试卷(解析版) 题型:填空题

化简式子=

查看答案和解析>>

科目:高中数学 来源:2016届山东师大附中高三上学期二模文科数学试卷(解析版) 题型:选择题

设等差数列的前n项和为,已知( )

A.35 B.30 C.25 D.15

查看答案和解析>>

同步练习册答案