【答案】
分析:(1)设函数g(x)图象任一点P(x,y),利用中点坐标公式求关于点A对称的点P'坐标,再把此点的坐标代入函数f(x)的解析式,化简得到g(x)的解析式;
(2)由g(x)>0求出x的范围,即对应函数的定义域,再分a>1和0<a<1两种情况求解,分别利用对数函数的单调性进行转化,解分式不等式的解集时利用通分进行化简,利用求出的x的范围求解不等式的解集,并与定义域求交集.
解答:解:(1)设函数g(x)图象c
2上任一点P(x,y),则关于点A(2,1)对称的点P'坐标为(x',y'),
由中点坐标公式得,

,解得x'=4-x,y'=2-y,即P'(4-x,2-y),
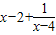
∵点P'在函数f(x)=

的图象c
1上,∴2-y=4-x+

,则y=

,
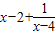
∴g(x)=

.
(2)由g(x)>0得,

>0,即

>0,
∴(x
2-6x+9)(x-4)>0,解得x>4,则y=log
ag(x)的定义域是(4,+∞),
下面分两种情况求解:
当a>1时,函数y=log
ax在定义域上是增函数,
∴原不等式变为

<

,即

-

<0,
∴

<0,
∵x>4,∴2x
2-21x+54<0,解得,

<x<6;
即不等式的解集是

,
当0<a<1时,函数y=log
ax在定义域上是减函数,
∴原不等式变为

>

,即

-

>0,
∴

>0,
∵x>4,∴2x
2-21x+54>0,解得,x>6或x<

,
∵x>4,∴4<x<

或x>6,即不等式的解集是

,
综上,当a>1时不等式的解集是

,
当0<a<1时不等式的解集为

.
点评:本题是一道难度和计算量较大的综合题,考查了利用对称和代入法求函数的解析式,利用底数进行分类讨论和对数函数的单调性,对有关对数不等式进行转化;注意求解先求出函数的定义域以及分式不等式的等价变形,这是易错的地方.