已知圆
,圆
,动圆
与已知两圆都外切.
(1)求动圆的圆心
的轨迹
的方程;
(2)直线
与点
的轨迹
交于不同的两点
、
,
的中垂线与
轴交于点
,求点
的纵坐标的取值范围.
(1)动圆的圆心
的轨迹
的方程为:
;(2)![]()
【解析】
试题分析:(1)两圆外切,则两圆圆心之间的距离等于两圆的半径之和,由此得
将两式相减得:![]()
由双曲线的定义可得轨迹
的方程.
(2)将直线
的方程
代入轨迹
的方程,利用根与系数的关系得到
、
的中点的坐标(用
表示),从而得
的中垂线的方程。再令
得点
的纵坐标(用
表示).根据
的范围求出点
的纵坐标的取值范围.
本小题中要利用
及与双曲线右支相交求
的范围,这是一个易错之处.
试题解析:(1)已知两圆的圆心、半径分别为![]()
设动圆
的半径为
,由题意知:![]()
则![]()
所以点
在以
为焦点的双曲线的右支上,其中
,则![]()
由此得
的方程为:
4分
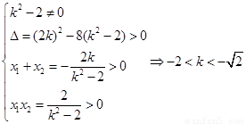
(2)将直线代入双曲线方程并整理得:![]()
设
的中点为![]()
依题意,直线
与双曲线右支交于不同两点,故
![]()
且![]()
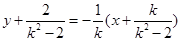
则
的中垂线方程为:![]()
令
得:
12分
考点:1、两圆外切的性质;2、双曲线的定义及方程;3、直线与圆锥曲线的关系
科目:高中数学 来源: 题型:
| 2 |
查看答案和解析>>
科目:高中数学 来源:2014届河南省安阳市高三上学期调研测试文科数学试卷(解析版) 题型:解答题
已知圆
,圆
,动圆
与已知两圆都外切.
(1)求动圆的圆心
的轨迹
的方程(2)直线
与点
的轨迹
交于不同的两点
、
,
的中垂线与
轴交于点
,求点
的纵坐标的取值范围.
查看答案和解析>>
科目:高中数学 来源:2013年全国普通高等学校招生统一考试文科数学(新课标1卷解析版) 题型:解答题
(本小题满分12分)已知圆
,圆
,动圆
与圆
外切并且与圆
内切,圆心
的轨迹为曲线
。
(Ⅰ)求
的方程;
(Ⅱ)
是与圆
,圆
都相切的一条直线,
与曲线
交于
,
两点,当圆
的半径最长是,求
。
查看答案和解析>>
科目:高中数学 来源: 题型:
已知圆
,圆
,动圆
与圆
外切并且与圆
内切,圆心
的轨迹为曲线
。
(Ⅰ)求
的方程;
(Ⅱ)
是与圆
,圆
都相切的一条直线,
与曲线
交于
,
两点,当圆
的半径最长是,求
。
查看答案和解析>>
湖北省互联网违法和不良信息举报平台 | 网上有害信息举报专区 | 电信诈骗举报专区 | 涉历史虚无主义有害信息举报专区 | 涉企侵权举报专区
违法和不良信息举报电话:027-86699610 举报邮箱:58377363@163.com