精英家教网 > 高中数学 > 题目详情

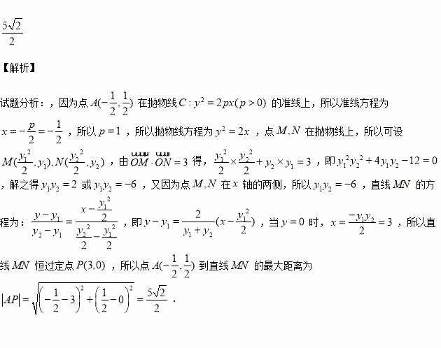
已知点在抛物线的准线上,点M,N在抛物线C上,且位于轴的两侧,O是坐标原点,若,则点A到动直线MN的最大距离为

练习册系列答案
相关习题

科目:高中数学 来源:2016届福建省高三上学期期中文科数学试卷(解析版) 题型:选择题

在复平面内,复数是虚数单位)对应的点位于( )

A.第一象限 B.第二象限 C.第三象限 D.第四象限

查看答案和解析>>

科目:高中数学 来源:2016届北京市朝阳区高三上学期期中统一考试文科数学试卷(解析版) 题型:选择题

已知函数若存在实数,使函数有两个零点,则实数的取值范围是 ( )

A. B. C. D.

查看答案和解析>>

科目:高中数学 来源:2015-2016学年河北省高一上学期期中考试理科数学试卷(解析版) 题型:选择题

已知集合,若,则实数的取值范围是

A.[2,+∞) B.(2,+∞) C.(-∞,0) D.(-∞,0]

查看答案和解析>>

科目:高中数学 来源:2016届浙江省绍兴市高三上学期期中理科数学试卷(解析版) 题型:解答题

在三角形中,的对边分别为,且

(1)求

(2)若,求的取值范围.

查看答案和解析>>

科目:高中数学 来源:2016届山西省高三10月月考理科数学试卷(解析版) 题型:解答题

中,内角的对边分别是,已知成等比数列,且

(1)求的值;

(2)设,求的值.

查看答案和解析>>

科目:高中数学 来源:2016届辽宁省沈阳市高三上学期期中文科数学试卷(解析版) 题型:选择题

在△ABC中,分别为∠A,∠B,∠C的对边,且,若向量平行,且sinB=,当△ABC的面积为时,则b=( )

A. B.2 C.4 D.2+

查看答案和解析>>

科目:高中数学 来源:2016届湖南省高三上第三次月考文数学卷(解析版) 题型:选择题

△ABC的三内角的对边边长分别为a、b、c,若,则( )

A. B. C. D.

查看答案和解析>>

科目:高中数学 来源:2015-2016学年湖北孝感高中高二上学期期中文科数学试卷(解析版) 题型:选择题

下列关于概率的理解中正确的命题的个数是

①掷10次硬币出现4次正面,所以掷硬币出现正面的概率是0.4;

②某种体育彩票的中奖概率为,则买1000张这种彩票一定能中奖;

③孝感气象台预报明天孝感降雨的概率为70%是指明天孝感有70%的区域下雨,30%的区域不下雨.

A.0 B.1 C.2 D.3

查看答案和解析>>

同步练习册答案