精英家教网 > 高中数学 > 题目详情

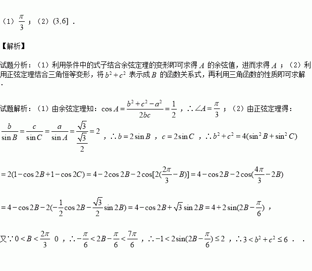
在三角形中,的对边分别为,且

(1)求

(2)若,求的取值范围.

练习册系列答案
相关习题

科目:高中数学 来源:2016届福建省高三上学期期中文科数学试卷(解析版) 题型:解答题

已知椭圆上的焦点为,离心率为

(1)求椭圆方程;

(2)设过椭圆顶点,斜率为的直线交椭圆于另一点,交轴于点,且成等比数列,求的值.

查看答案和解析>>

科目:高中数学 来源:2015-2016学年广东省普宁市华美实验学校高一上学期期中数学试卷(解析版) 题型:选择题

的大小关系是 ( )

A. B. C. D.

查看答案和解析>>

科目:高中数学 来源:2015-2016学年湖北省武汉市高二上学期期中考试数学试卷(解析版) 题型:选择题

若经过的直线斜率为1,则等于( )

A.1 B.4 C.1或3 D.1或4

查看答案和解析>>

科目:高中数学 来源:2016届浙江省绍兴市高三上学期期中文科数学试卷(解析版) 题型:填空题

分别为双曲线的左、右焦点,若在右支上存在点,使得点到直线的距离为,则该双曲线的离心率的取值范围是

查看答案和解析>>

科目:高中数学 来源:2016届山西省高三10月月考文科数学试卷(解析版) 题型:填空题

已知点在抛物线的准线上,点M,N在抛物线C上,且位于轴的两侧,O是坐标原点,若,则点A到动直线MN的最大距离为

查看答案和解析>>

科目:高中数学 来源:2016届山西省高三10月月考理科数学试卷(解析版) 题型:选择题

已知正四棱锥中,,那么当该棱锥的体积最大时,它的高为( )

A. B. C. D.

查看答案和解析>>

科目:高中数学 来源:2016届江苏省高三上学期周练数学试卷(解析版) 题型:填空题

已知双曲线的准线经过椭圆的焦点,则

查看答案和解析>>

科目:高中数学 来源:2015-2016学年吉林省高一上期中理科数学试卷(解析版) 题型:选择题

下列各组函数中,是相等函数的一组是( )

A.

B.

C.

D.

查看答案和解析>>

同步练习册答案