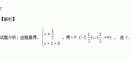
精英家教网 > 高中数学 > 题目详情

函数的定义域为( )

A. B.(-2,+∞) C. D.

练习册系列答案
相关习题

科目:高中数学 来源:2015-2016学年辽宁省高二上10月月考文科数学试卷(解析版) 题型:解答题

(2011•福建)某日用品按行业质量标准分成五个等级,等级系数X依次为1,2,3,4,5.现从一批该日用品中随机抽取20件,对其等级系数进行统计分析,得到频率分布表如下:

X

1

2

3

4

5

f

a

0.2

0.45

b

c

(Ⅰ)若所抽取的20件日用品中,等级系数为4的恰有3件,等级系数为5的恰有2件,求a、b、c的值;

(Ⅱ)在(Ⅰ)的条件下,将等级系数为4的3件日用品记为x1,x2,x3,等级系数为5的2件日用品记为y1,y2,现从x1,x2,x3,y1,y2,这5件日用品中任取两件(假定每件日用品被取出的可能性相同),写出所有可能的结果,并求这两件日用品的等级系数恰好相等的概率.

查看答案和解析>>

科目:高中数学 来源:2015-2016学年河南省高二上12月月考文科数学试卷(解析版) 题型:选择题

(2014•青岛二模)数列{an}为等差数列,a1,a2,a3为等比数列,a5=1,则a10=( )

A.5 B.﹣1 C.0 D.1

查看答案和解析>>

科目:高中数学 来源:2015-2016学年山东省乐陵市高一上学期期中考试数学试卷(解析版) 题型:选择题

已知,那么的大小关系为( )

A.b>c>a B.b>a>c C.a>b>c D.c>a>b

查看答案和解析>>

科目:高中数学 来源:2015-2016学年内蒙古赤峰市高一9月月考数学试卷(解析版) 题型:填空题

已知,且A∩B=B,则的值为___________.

查看答案和解析>>

科目:高中数学 来源:2015-2016学年内蒙古赤峰市高一9月月考数学试卷(解析版) 题型:选择题

若集合,且,则的值为( )

A. B. C. D.

查看答案和解析>>

科目:高中数学 来源:2015-2016学年福建省宁德市高一上学期期中考试数学试卷(解析版) 题型:填空题

函数的定义域为

查看答案和解析>>

科目:高中数学 来源:2016届江苏省高三上第十八周周练数学试卷(解析版) 题型:填空题

若对,不等式恒成立,则实数的最大值是________.

查看答案和解析>>

科目:高中数学 来源:2015-2016学年西藏日喀则一中高二10月月考文数学试卷(解析版) 题型:解答题

设函数

(1)若函数时取得极小值,求的值;

(2)若函数在定义域上是单调函数,求的取值范围.

查看答案和解析>>

同步练习册答案