精英家教网 > 高中数学 > 题目详情

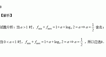
若函数上的最大值和最小值之和为,则的值为( )

A. B. C.2 D.4

练习册系列答案
相关习题

科目:高中数学 来源:2016届河北省邯郸市高三一轮考试二文科数学试卷(解析版) 题型:选择题

一条光线从点(-2,-3)射出,经y轴反射与圆相切,则反射光线所在的直线的斜率为( )

A. B. C. D.

查看答案和解析>>

科目:高中数学 来源:2015-2016学年湖南省、攸县一中高二上期中理科数学试卷(解析版) 题型:填空题

已知满足约束条件,若的最小值为1,则

查看答案和解析>>

科目:高中数学 来源:2015-2016学年浙江省温州市十校联合体高二上学期期中考试数学试卷(解析版) 题型:填空题

已知各顶点都在一个球面上的正四棱柱高为4,体积为16,则这个球的表面积是

查看答案和解析>>

科目:高中数学 来源:2015-2016学年湖北省等四校高二上学期期中理科数学试卷(解析版) 题型:选择题

下列说法正确的是( )

A.事件A、B中至少有一个发生的概率一定比A、B中恰有一个发生的概率大

B.A、B同时发生的概率一定比A、B中恰有一个发生的概率小

C.若 则事件A与B是互斥且对立事件

D.互斥事件不一定是对立事件,对立事件一定是互斥事件事件

查看答案和解析>>

科目:高中数学 来源:2015-2016学年湖南省、攸县一中高二上期中文科数学试卷(解析版) 题型:填空题

(攸县一中选做)若双曲线=1(a>0,b>0)的一个焦点到一条渐近线的距离等于焦距的,则该双曲线的离心率是 _____ __

查看答案和解析>>

科目:高中数学 来源:2015-2016学年浙江省嘉兴市高二上12月月考数学卷(解析版) 题型:选择题

已知直线过点,且在轴和轴上的截距互为相反数,则直线的方程为( )

A.

B.

C.

D.

查看答案和解析>>

科目:高中数学 来源:2015-2016学年辽宁省分校高一12月月考数学卷(解析版) 题型:选择题

函数的定义域为的值域为,则等于( )

A. B. C. D.

查看答案和解析>>

科目:高中数学 来源:2015-2016年湖南省株洲市高二上第二次月考文数学卷(解析版) 题型:解答题

设函数

(1)求f(x)的最小值,并求使f(x)取得最小值的x的集合;

(2)在△ABC中,设角A,B的对边分别为a,b,若B=2A,且,求角C的大小.

查看答案和解析>>

同步练习册答案