精英家教网 > 高中数学 > 题目详情
设Sn是数列{an}的前n项和,点P(an,Sn)在直线y=2x-2上(n∈N+)。
(1)求数列{an}的通项公式;
(2)记,数列{bn}的前n项和为Tn,求使Tn>2011的n的最小值;
(3)设正数数列{cn}满足,证明:数列{cn} 中的最大项是c2
解:(1)依题意得Sn=2an-2,则n≥2时

∴n≥2时


又n=1时,a1=2,
∴数列{an}是以a1=2为首项,以2为公比的等比数列

(2)依题意


由Tn>2011得

当n≤1006(n∈N*)时,
当n≥1007(n∈N*)时

因此n的最小值为1007。
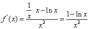
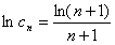
(3)由已知得
即(n+1)lncn=ln(n+1)



∵当x≥3时,lnx>1,则1-lnx<0,即f'(x)<0
∴f(x)在[3,+∞)内为单调递减函数,
∴n≥2时,{lncn}是递减数列,即{cn}是递减数列
∵cn>0,

∴数列{cn}中的最大项为
练习册系列答案
相关习题

科目:高中数学 来源: 题型:

20、设Sn是数列{an}(n∈N*)的前n项和,a1=a,且Sn2=3n2an+Sn-12,an≠0,n=2,3,4,….
(1)证明数列{an+2-an}(n≥2)是常数数列;
(2)试找出一个奇数a,使以18为首项,7为公比的等比数列{bn}(n∈N*)中的所有项都是数列{an}中的项,并指出bn是数列{an}中的第几项.

查看答案和解析>>

科目:高中数学 来源: 题型:

等差数列{an}中,a3=-5,a6=1,此数列的通项公式为
 
,设Sn是数列{an}的前n项和,则S8等于
 

查看答案和解析>>

科目:高中数学 来源: 题型:

已知数列{an}与{bn}满足关系,a1=2a,an+1=
1
2
(an+
a2
an
),bn=
an+a
an-a
(n∈N+,a>0)
(l)求证:数列{log3bn}是等比数列;
(2)设Sn是数列{an}的前n项和,当n≥2时,Sn与(n+
4
3
)a
是否有确定的大小关系?若有,请加以证明,若没有,请说明理由.

查看答案和解析>>

科目:高中数学 来源: 题型:

设Sn是数列{an} 的前n项和,若
S2nSn
(n∈N*)
是非零常数,则称数列{an} 为“和等比数列”.
(1)若数列{2bn}是首项为2,公比为4的等比数列,则数列 {bn}
 
(填“是”或“不是”)“和等比数列”;
(2)若数列{cn}是首项为c1,公差为d(d≠0)的等差数列,且数列 {cn} 是“和等比数列”,则d与c1之间满足的关系为
 

查看答案和解析>>

科目:高中数学 来源: 题型:

设Sn是数列{an}的前n项和,且点(n,Sn)在函数y=x2+2x上,
(1)求数列{an}的通项公式;
(2)已知bn=2n-1,Tn=
1
a1b1
+
1
a2b2
+…+
1
anbn
,求Tn

查看答案和解析>>

同步练习册答案