精英家教网 > 高中数学 > 题目详情

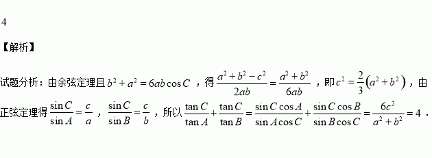
在锐角中,角所对的边分别为,若,则的值是_______.

练习册系列答案
相关习题

科目:高中数学 来源:2016届海南省高考模拟九文科数学试卷(解析版) 题型:解答题

正方体中,点的中点.

(1)求证:平面

(2)求证:平面平面.

查看答案和解析>>

科目:高中数学 来源:2016届海南省高考模拟九理科数学试卷(解析版) 题型:选择题

设集合,则为( )

A. B. C. D.

查看答案和解析>>

科目:高中数学 来源:2016届河南省商丘市高三三模理科数学试就(解析版) 题型:选择题

如图,网格纸上小正方形的边长为,粗实线画出的是某多面体的三视图,则该多面体的各面中,面积的最大值是( )

A. B. C. D.

查看答案和解析>>

科目:高中数学 来源:2016届河南省商丘市高三三模理科数学试就(解析版) 题型:选择题

已知全集,集合,则集合可以表示为( )

A. B. C. D.

查看答案和解析>>

科目:高中数学 来源:2015-2016学年天津市高一下期中数学试卷(解析版) 题型:选择题

已知数列为等差数列,,设,当数列的前项和最小时,则的值为( )

A. B. C. D.

查看答案和解析>>

科目:高中数学 来源:2015-2016学年天津市高一下期中数学试卷(解析版) 题型:选择题

中,若,则角为( )

A. B. C. D.

查看答案和解析>>

科目:高中数学 来源:2015-2016学年江西省高一5月月考文科数学试卷(解析版) 题型:选择题

已知在中,分别为角的对边,且,则的面积为( )

A. B. C. D.

查看答案和解析>>

科目:高中数学 来源:2015-2016学年福建省高二下期中理科数学试卷(解析版) 题型:选择题

,若函数有小于零的极值点,则实数的取值范围为( )

A. B. C. D.

查看答案和解析>>

同步练习册答案