精英家教网 > 高中数学 > 题目详情

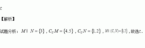
已知全集,集合,则集合可以表示为( )

A. B. C. D.

练习册系列答案
相关习题

科目:高中数学 来源:2016届海南省高考模拟九文科数学试卷(解析版) 题型:解答题

已知曲线的极坐标方程是,直线的参数方程是.设直线与轴的交点是曲线上一动点,求的最大值.

查看答案和解析>>

科目:高中数学 来源:2016届海南省高考模拟九理科数学试卷(解析版) 题型:选择题

若如下框图所给的程序运行结果为,那么判断框中应填入的关于的条件是( )

A. B. C. D.

查看答案和解析>>

科目:高中数学 来源:2016届河南省商丘市高三三模理科数学试就(解析版) 题型:填空题

满足约束条件,则的最大值为_______.

查看答案和解析>>

科目:高中数学 来源:2016届河南省商丘市高三三模理科数学试就(解析版) 题型:选择题

已知抛物线与双曲线的一个交点为为抛物线的焦点,若,则该双曲线的渐近线方程为( )

A. B. C. D.

查看答案和解析>>

科目:高中数学 来源:2015-2016学年天津市高一下期中数学试卷(解析版) 题型:填空题

在锐角中,角所对的边分别为,若,则的值是_______.

查看答案和解析>>

科目:高中数学 来源:2015-2016学年天津市高一下期中数学试卷(解析版) 题型:选择题

等差数列中,,则使前项和成立的最大自然数为( )

A. B. C. D.

查看答案和解析>>

科目:高中数学 来源:2015-2016学年江西省高一5月月考文科数学试卷(解析版) 题型:填空题

如果向量共线且方向相反,则等于 .

查看答案和解析>>

科目:高中数学 来源:2015-2016学年福建省高二下期中理科数学试卷(解析版) 题型:填空题

已知,且是偶数,则 .

查看答案和解析>>

同步练习册答案