精英家教网 > 高中数学 > 题目详情

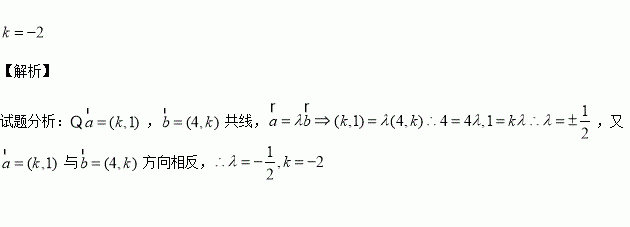
如果向量共线且方向相反,则等于 .

练习册系列答案
相关习题

科目:高中数学 来源:2016届海南省高考模拟九理科数学试卷(解析版) 题型:解答题

如图,在三棱柱中,平面,且.

(1)求棱所成的角的大小;

(2)在棱上确定一点,使二面角的平面角的余弦值为.

查看答案和解析>>

科目:高中数学 来源:2016届河南省商丘市高三三模理科数学试就(解析版) 题型:选择题

已知全集,集合,则集合可以表示为( )

A. B. C. D.

查看答案和解析>>

科目:高中数学 来源:2015-2016学年天津市高一下期中数学试卷(解析版) 题型:选择题

中,若,则角为( )

A. B. C. D.

查看答案和解析>>

科目:高中数学 来源:2015-2016学年江西省高一5月月考文科数学试卷(解析版) 题型:解答题

已知等差数列满足:的前项和为.

(1)求

(2)令,求数列的前项和.

查看答案和解析>>

科目:高中数学 来源:2015-2016学年江西省高一5月月考文科数学试卷(解析版) 题型:选择题

已知在中,分别为角的对边,且,则的面积为( )

A. B. C. D.

查看答案和解析>>

科目:高中数学 来源:2015-2016学年江西省高一5月月考文科数学试卷(解析版) 题型:选择题

数列的一个通项公式是( )

A. B. C. D.

查看答案和解析>>

科目:高中数学 来源:2015-2016学年江西省高一5月月考理科数学试卷(解析版) 题型:选择题

中,,则( )

A. B. C. D.

查看答案和解析>>

科目:高中数学 来源:2015-2016学年陕西省西安市高二下期中数学试卷(解析版) 题型:选择题

已知函数f(x)=,且,则函数f(x)的图象的一条对称轴是

A. B.x= C.x= D.x=

查看答案和解析>>

同步练习册答案