精英家教网 > 高中数学 > 题目详情

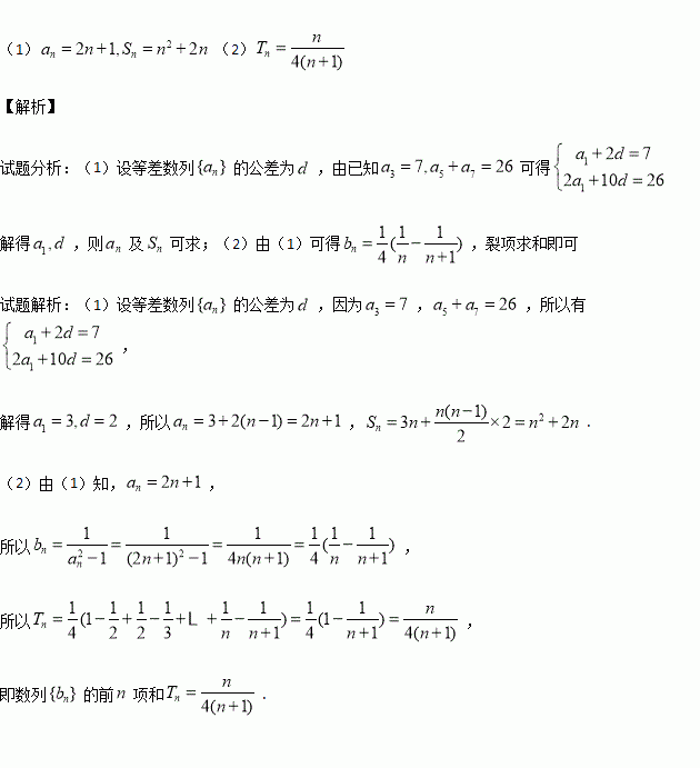
已知等差数列满足:的前项和为.

(1)求

(2)令,求数列的前项和.

练习册系列答案
相关习题

科目:高中数学 来源:2016届海南省高考模拟九理科数学试卷(解析版) 题型:解答题

已知曲线的极坐标方程是,直线的参数方程是.设直线与轴的交点是曲线上一动点,求的最大值.

查看答案和解析>>

科目:高中数学 来源:2016届河南省商丘市高三三模理科数学试就(解析版) 题型:选择题

已知抛物线与双曲线的一个交点为为抛物线的焦点,若,则该双曲线的渐近线方程为( )

A. B. C. D.

查看答案和解析>>

科目:高中数学 来源:2015-2016学年天津市高一下期中数学试卷(解析版) 题型:选择题

等差数列中,,则使前项和成立的最大自然数为( )

A. B. C. D.

查看答案和解析>>

科目:高中数学 来源:2015-2016学年天津市高一下期中数学试卷(解析版) 题型:选择题

对于任意实数,下列结论中正确的是( )

①若,则;②若,则;③若,则;④若,则

A.① B.② C.③ D.④

查看答案和解析>>

科目:高中数学 来源:2015-2016学年江西省高一5月月考文科数学试卷(解析版) 题型:填空题

如果向量共线且方向相反,则等于 .

查看答案和解析>>

科目:高中数学 来源:2015-2016学年江西省高一5月月考文科数学试卷(解析版) 题型:选择题

已知,则下列不等式中成立的是( )

A. B. C. D.

查看答案和解析>>

科目:高中数学 来源:2015-2016学年江西省高一5月月考理科数学试卷(解析版) 题型:选择题

已知所在平面内的一点,,则的( )

A.内心 B.外心 C.重心 D.垂心

查看答案和解析>>

科目:高中数学 来源:2015-2016学年陕西省西安市高二下期中数学试卷(解析版) 题型:填空题

数列满足,则的前项和为

查看答案和解析>>

同步练习册答案